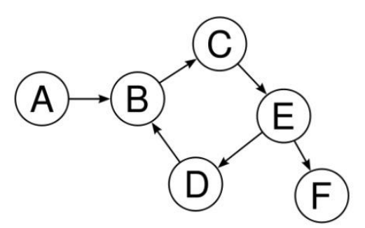
Question: How to use Python (with Stanford Network Analysis Platform ) to 1. create the following graph. Also 2. traversing edges and nodes. A B E
How to use Python (with Stanford Network Analysis Platform) to 1. create the following graph. Also 2. traversing edges and nodes.

A B E D F
Step by Step Solution
There are 3 Steps involved in it
Get step-by-step solutions from verified subject matter experts
