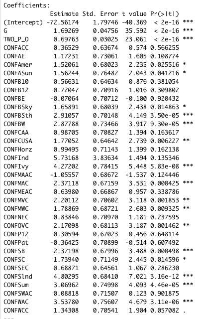
Question: How would I answer the question Once We control for the number of games played and Two-Point ShootingPercentage, what are the differences in average numbers
How would I answer the question "Once We control for the number of games played and Two-Point ShootingPercentage, what are the differences in average numbers of wins whencomparing the conferences?" by using real world terminology using the output attached to the file.
Variables Are:
CONF: The Athletic Conference in which the school participates in
W: Number of games won
G: Number of games played
TWO_P_O: Two-Point Shooting Percentage.Note the O in the name of the variable is the capital letter O, not the number zero.



\f\fSignif. codes: 0.001 1*#' 0. 01 *' 0.05 . 1 1 Residual standard error: 3.805 on 1722 degrees of freedom Multiple R-squared: 0.6686, Adjusted R-squared: 0.662 F-statistic: 102.2 on 34 and 1722 DF, p-value:
Step by Step Solution
There are 3 Steps involved in it
Get step-by-step solutions from verified subject matter experts
