Question: How would I manipulate this pivot table to solve this problem, looking for step by step instructions. (disclaimer this is not the complete excel document)
How would I manipulate this pivot table to solve this problem, looking for step by step instructions. (disclaimer this is not the complete excel document)
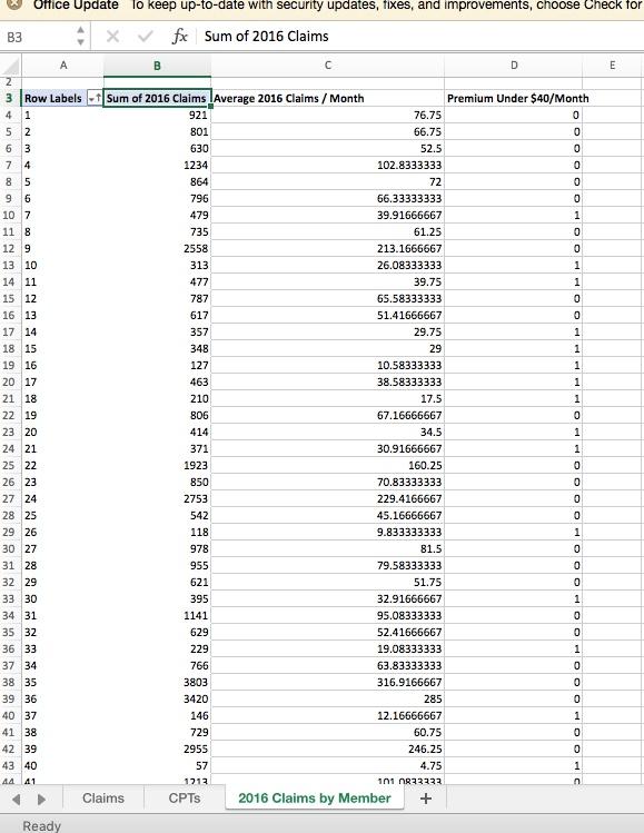
3. In 2016, none of the members had any idea of what their health expenditures might be. In 2017, they are each aware of their 2016 claims. Members do not wish to buy a plan if the annual premium costs more than triple their total claims in the prior year. After talking to the marketing department, the health plan decides to set its premium for these members at $120/month. How many members will buy a plan in 2017 if it is priced at $120/month?
Office Update to keep up-to-date with security updates, fixes, and improvements, choose Check for Sum of 2016 Claims B3 A B D E OOOOOOOO 3 Row Labels Sum of 2016 Claims Average 2016 Claims / Month Premium Under $40/Month 4 1 921 76.75 5 2 801 66.75 6 3 630 52.5 7 4 1234 102.8333333 85 864 72 9 6 796 66.33333333 10 7 479 39.91666667 1 11 8 735 61.25 12 9 2558 213.1666667 13 10 313 26.08333333 1 14 11 477 39.75 1 15 12 787 65.58333333 0 16 13 617 51.41666667 0 17 14 357 29.75 1 18 15 348 29 1 19 16 127 10.58333333 1 2017 463 38.58333333 1 21 18 210 17.5 1 22 19 806 67.16666667 23 20 414 34.5 24 21 371 30.91666667 25 22 1923 160.25 26 23 850 70.83333333 27 24 2753 229.4166667 28 25 542 45.16666667 29 26 118 9.833333333 30 27 978 81.5 31 28 955 79.58333333 32 29 621 51.75 33 30 395 32.91666667 34 31 1141 95.08333333 35 32 629 52.41666667 36 33 229 19.08333333 37 34 766 63.83333333 38 35 3803 316.9166667 39 36 3420 285 40 146 12.166666 1 41 38 729 60.75 42 39 2955 246.25 43 40 57 4.75 44 41 1712 101 NR23232 Claims CPTS 2016 Claims by Member + Ready OOOOOOOOOOOOOOOO Office Update to keep up-to-date with security updates, fixes, and improvements, choose Check for Sum of 2016 Claims B3 A B D E OOOOOOOO 3 Row Labels Sum of 2016 Claims Average 2016 Claims / Month Premium Under $40/Month 4 1 921 76.75 5 2 801 66.75 6 3 630 52.5 7 4 1234 102.8333333 85 864 72 9 6 796 66.33333333 10 7 479 39.91666667 1 11 8 735 61.25 12 9 2558 213.1666667 13 10 313 26.08333333 1 14 11 477 39.75 1 15 12 787 65.58333333 0 16 13 617 51.41666667 0 17 14 357 29.75 1 18 15 348 29 1 19 16 127 10.58333333 1 2017 463 38.58333333 1 21 18 210 17.5 1 22 19 806 67.16666667 23 20 414 34.5 24 21 371 30.91666667 25 22 1923 160.25 26 23 850 70.83333333 27 24 2753 229.4166667 28 25 542 45.16666667 29 26 118 9.833333333 30 27 978 81.5 31 28 955 79.58333333 32 29 621 51.75 33 30 395 32.91666667 34 31 1141 95.08333333 35 32 629 52.41666667 36 33 229 19.08333333 37 34 766 63.83333333 38 35 3803 316.9166667 39 36 3420 285 40 146 12.166666 1 41 38 729 60.75 42 39 2955 246.25 43 40 57 4.75 44 41 1712 101 NR23232 Claims CPTS 2016 Claims by Member + Ready OOOOOOOOOOOOOOOO
Step by Step Solution
There are 3 Steps involved in it
Get step-by-step solutions from verified subject matter experts
