Question: I am having some trouble with these two questions. I have to use the given equations to solve the problems. Thank you in advance for



I am having some trouble with these two questions. I have to use the given equations to solve the problems. Thank you in advance for your help
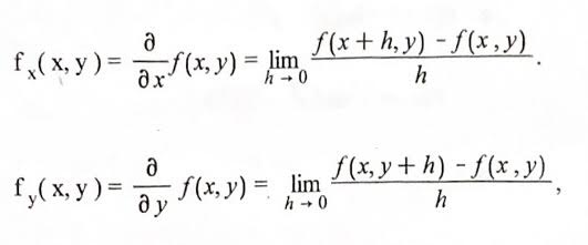
These were the given equations:



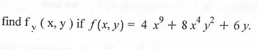
f ( x, y ) = a.f (x, y) = lim f ( x + h, y) - f (x, y ) h - 0 f ( x, y ) f ( x, y ) = lim f ( x, y + h) - f(x, y) = h- 0 S Cfind f ( x, y ) if f (x, y) = 4 x + 8 x 12 + 6y
Step by Step Solution
There are 3 Steps involved in it
1 Expert Approved Answer
Step: 1 Unlock
Question Has Been Solved by an Expert!
Get step-by-step solutions from verified subject matter experts
Step: 2 Unlock
Step: 3 Unlock
