Question: I am having some trouble with this problem. It is solved, but some parts are missing, and I do not understand why certain answers were
I am having some trouble with this problem. It is solved, but some parts are missing, and I do not understand why certain answers were obtained. Thank you in advance for your help.









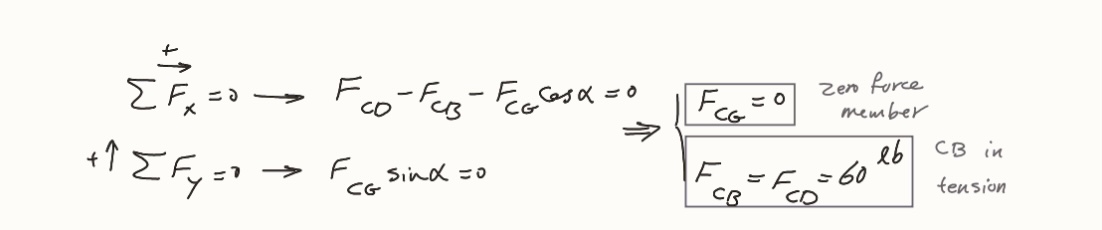
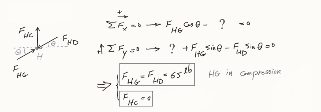
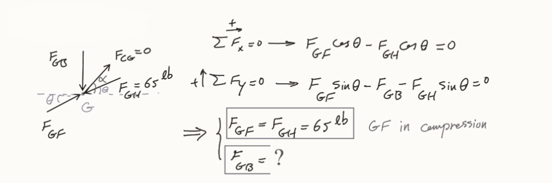
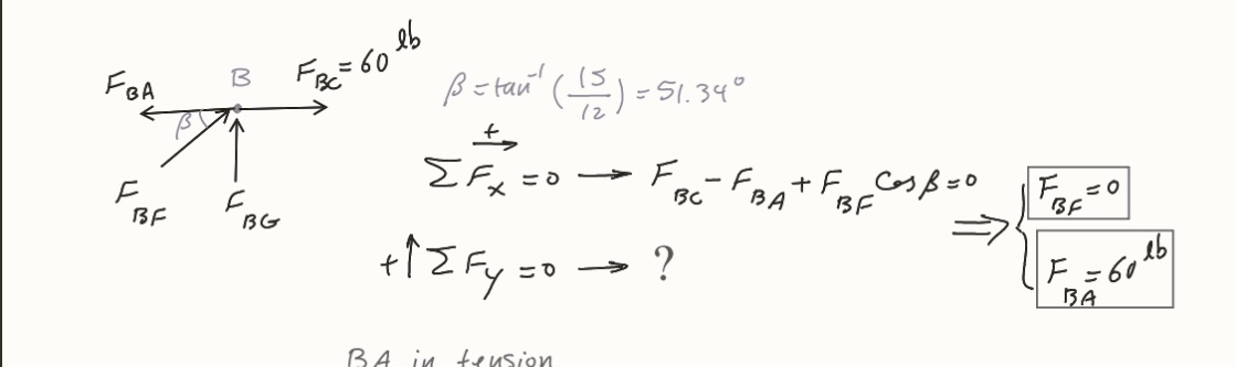
25 kips FDC C f+ A D D CH AF -> CH = S CD AD H FOH a = tan = 22.61' f IF = 0 -> F CSQ- F F = 65 DH DC = 0 lb DH in Compression DH +1 EF =0 - F DH Sine - ?=0 F eb = 60 DC in tension DCZen force F =0 member eb CB in IT IF= 1 - F sind = 0 F = F = 60 CB CD tensionIF, = 0 - FAB = 0 A FAB = 60 + 1IFY = 0 - F - F _ SinB = 0 AF AE K F F._ = 96.05 16 AE F AE in tension AF (3 = 51.340 FAE = 75 16 AF in compressionZ F = 0 ->-F -F CosB=0 Fay = 75 FE FG F ZO FB +1 IF/=0 - Fu- F sino- F = 0 FG FA F eb FE Fy Fy = 100 46 Q = 22-61 FE in compressionFCB C FCU -> BG = 10 ff a =tan ' ( BG ) - ? K BD BG F FCH CGF IF= D ->F HC = 0 F. HG H + IFY = 0 - ? + F sine - F SinQ =0 IG HD HG F. = F, = 65 16 HG HD HG in compression HCIF,=0 - F CO - F GB=0 GH VAG F = 65 26 +1 IFY=0 - F Sing- F - F Sing= 0 - GH - GF GB GH G FGF = Faux = 65 lb GF in compression F GB = ?eb FBA B FR = 60 B = tan ( 15 ) = 51.340 IF =OF - F + F CosB=O F = 0 F BF BF F BF BG + ZFy = 0 -? F = 60 BA BA ina C D D 15 nt H E G F -12 0- - 12 ft -- 12 ft -- 12 ft
Step by Step Solution
There are 3 Steps involved in it
Get step-by-step solutions from verified subject matter experts
