

I am struggling with this assignment! Any and all help would be greatly appreciated!



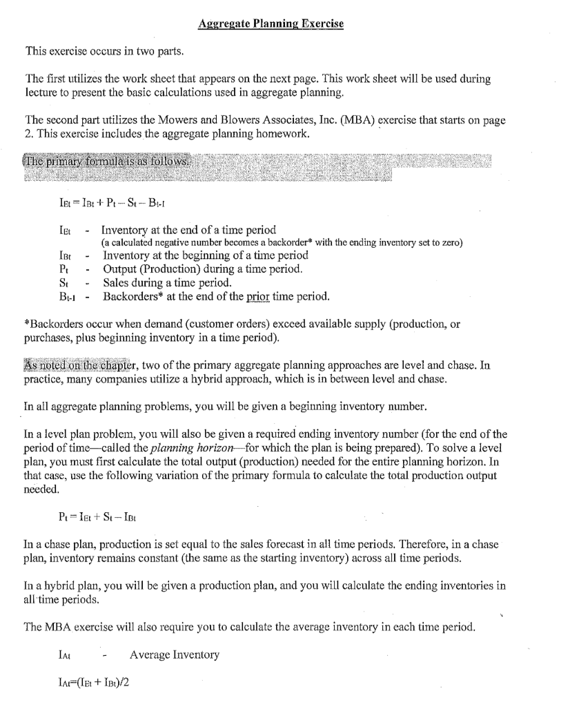
Total AGGREGATE PLANNING WORKSHEET Overall plan Period I II III IV Forecast Output total (Output total)-(Forecast)** Inventory: Beginning Ending Average Backorders: Plan for types of output (must add up to the "Output total line above) Full time hires (layoffs) Full time staff (starting: Regular (@ )* Overtime (@ ) Temporary hires (layoffs) Temporary staff (starting: Temporary (@ )* Sub-contract (@ ) *for these two categories, determine how many people you need versus how many people you have and decide if you need to hire or layoff, do this for every quarter. **Use of this line is optional--if it helps you, feel free to use it, if not, ignore it. Costs Output type: Regular (@ $5.00/unit) Overtime (@ $7.50/unit) Temporary (@$12.00/unit ) Sub-contract (@$10.00/unit) Hiring costs @ $100/person) Layoff costs @ $500/FT person) Inventory costs @ $4/qtr-avg inv) Backorder costs @ $8/qtr ) Totals Total AGGREGATE PLANNING WORKSHEET Overall plan Period I IT TI IV Forecast Output total (Output total)-(Forecast) Inventory: Beginning Ending Average Backorders: Plan for types of output (must add up to the "Output total" line above) Full time hires (layoffs) Full time staff (starting) Regular (@ > Overtime Temporary hires (layoffs) Temporary staff starting Temporary (@ * Sub-contract (@ for these two categories, how rasy people you need versus how many people you have and decide if you need to hire or off do this for every quarter. ** Usedis line is about its you, die 1 sitif av igrice Costs Output type: Regular (@ $5.00/unit) Overtime @ $7.50/unit) Temporary (@$12.00/unit) Sub-contract @S10.00/unit) Hiring costs @ $100/person) Layoff costs @ $500/FT person) Inventory costs (@S4/qtr-avg inv) Backorder costs @ $8/qtr ) Totals AGGREGATE PLANNING WORKSHEET Overall plan Period I Forecast Output total IV Total (Output total)-(Forecast)** EXAMINATIONS Inventory: Beginning Ending Average Backorders: Plan for types of output (must add up to the "Output total" line above) Full time hires (layoffs) Full time staff (starting Regular (@ J Overtime (@ ) Temporary hires (layoffs) Temporary staff (starting Temporary (@ ) Sub-contract (@ for the locanegacies, determine how many people you need sus bow many people you have and decide if you need to hire or layot, do this for every quarter. **Use of the line is option it helps you feel thee to use in ignore Costs Output type: Regular (@ $5.00/unit) Overtime @ $7.50/unit) Temporary (@$12.00/unit) Sub-contract (@S10.00/unit) Hiring costs @ $100/person) Layoff costs @ $500/FT person) Inventory costs @ $4/qtr-avg inv) Backorder costs @ $8/qtr) Totals Total AGGREGATE PLANNING WORKSHEET Overall plan Period I II IV Forecast Output total (Output total)-(Forecast)** Inventory: Beginning Ending Average Backorders: Plan for types of output (must add up to the "Output total line above) Full time hires (layoffs) Full time staff (starting: Regular (@ )* Overtime (@ ) Temporary hires (layoffs) Temporary staff (starting: Temporary (@ )* Sub-contract (@ ) *for these two categories, determine how many people you need versus how many people you have and decide if you need to hire or layoff, do this for every quarter. **Use of this line is optional if it helps you, feel free to use it, if not, ignore it. Costs Output type: Regular (@ $5.00/unit Overtime (@ $7.50/unit) Temporary (@$12.00/unit ) Sub-contract (@$10.00/unit ) Hiring costs @ $100/person) Layoff costs @ $500/FT person) Inventory costs @ $4/qtr-avg inv) Backorder costs @ $8/qtr) Totals Mowers & Blowers Associates, Inc. Production work force: As of the first of the year, the production work force consists of 44 Full-Time employees. Additional Assumptions: MBA Inc. assembles lawn mowers and snow blowers from subassemblies and component parts provided by reliable vendors. Both products (end items) utilize the same small engines, many of the same parts and require the same assembly time and employee labor skills. On December 20, the Production Planning Committee of MBA Inc. is due to adopt an aggregate plan for the coming year. The available planning information is as follows: Information: Demand Forecasts 1) 2) Part Time employees may not work overtime Assume 100% utilization of Full-Time employees on regular time and of Part Time employees at all times (1.e., all such employees on the payroll during a period produce at the rates shown under Production Rates). Overtime utilization of Full-Time employees can be on an as needed basis subject to the limitation on maximum overtime output shown under Production Rates. Quarter Lawn Mowers Snow Blowers 3) Q-1 Q - II Q-III Q-IV 10,000 15,000 16,000 3,000 9,000 7,000 19,000 10,000 Given all of this planning information, develop a series of aggregate plans to meet the criteria presented in the following series of problems. Quarter - I Beginning Inventory: Mowers 600; blowers 400 1. A. B. Output and Costs: Regular Time $5.00 per unit Overtime $7.50 per unit Subcontract $10.00 per unit Part Time $12.00 per unit Inventory $4.00 per unit per quarter based on avg, inventory during each quarter Backorders $8.00 per unit per period (based on backorders at end of period) Hiring $100.00 per employee (Full-Time or Part-Time) Layoff $500.00 per employee (no cost if Part-Time) Production Rates: Regular 500 units per Full-Time employee per quarter (of'either unit) Overtime up to 200 units per Full-Time employee per quarter of either unit) Part Time 400 units per Part Time employee per quarter of either unit) Develop an aggregate plan which utilizes a level (constant) rate of output each quarter using only full-time employees without overtime. Ending inventory and backorders for quarter IV must be equal to zero. Summarize your plan and its cost consequences on an Aggregate Planning Worksheet. If each shipping container for a completed mower or blower requires 6 cu. ft. of space, what is the maximum amount of cubic feet of space that would be needed in the finished goods warehouse if your plan 1-A is adopted? (Assume that sales and production occur at a steady, daily rate within each quarter.) If the cost of each completed end item is $200.00, what is the maximum amount of capital that will be tied up in finished goods inventory during the year? (Continue with the assumption given for 1B.) C. Aggregate Planning Exercise This exercise occurs in two parts. The first utilizes the work sheet that appears on the next page. This work sheet will be used during lecture to present the basic calculations used in aggregate planning, The second part utilizes the Mowers and Blowers Associates, Inc. (MBA) exercise that starts on page 2. This exercise includes the aggregate planning homework, The primary formula is as follows. let = 1B:+Pt-St-BI Iet IBt Pt St B-- Inventory at the end of a time period (a calculated negative number becomes a backorder* with the ending inventory set to zero) Inventory at the beginning of a time period Output (Production) during a time period. Sales during a time period. Backorders* at the end of the prior time period. *Backorders occur when demand (customer orders) exceed available supply (production, or purchases, plus beginning inventory in a time period). As noted on the chapter, two of the primary aggregate planning approaches are level and chase. In practice, many companies utilize a hybrid approach, which is in between level and chase. In all aggregate planning problems, you will be given a beginning inventory number. In a level plan problem, you will also be given a required ending inventory number (for the end of the period of time-called the planning horizon--for which the plan is being prepared). To solve a level plan, you must first calculate the total output (production) needed for the entire planning horizon. In that case, use the following variation of the primary formula to calculate the total production output needed. Pt = let +SL-IB In a chase plan, production is set equal to the sales forecast in all time periods. Therefore, in a chase plan, inventory remains constant (the same as the starting inventory) across all time periods. In a hybrid plan, you will be given a production plan, and you will calculate the ending inventories in all time periods. The MBA exercise will also require you to calculate the average inventory in each time period. Average Inventory 1A=(let + Ibt)/2 2. Suppose that on December 21 the long range weather forecast is released by the weather service and more snow than normal is predicted. As a result, the Marketing Dept. raises their forecast for Quarter I sales of blowers from 9,000 to 11,000 units (the forecasts for the other quarters remain unchanged). You will now have to develop and analyze several alternative plans for next year. Keep in mind that each of these plans must include: Beginning Inv. of 600 mowers and 400 blowers Ending Inventory and backorders for Qtr. IV must be zero Each plan must have the same level total output rate each quarter Show each of your proposed plans, including the costs, on an Aggregate Planning Worksheet. A. Develop a plan that uses overtime by regular, full-time employees to meet the new demand conditions. B. Plan 2-B will use regular employees (no overtime) plus subcontracting to meet the new demand conditions. C. Another possibility would be to hire an additional full-time employee on Jan. 2 and employ him/her for the full year. 3. The V.P of Marketing is not all that happy with the large volume of backorders in your plan from question 1A. She asks that you develop a plan that requires no backorders at any time during the year. The V.P. of manufacturing says that he will insist that any such plan specify level output each quarter. The V.P. of Finance states that you no longer need to have a Qtr. IV ending inventory of zero but it should be as low as possible. A. Use the original demand data, beginning inventory, etc. from problem 1. Develop a plan that will meet the requirements of all three V.P.'s. B. What ending inventory for Qtr. IV will result? Total AGGREGATE PLANNING WORKSHEET Overall plan Period I II III IV Forecast Output total (Output total)-(Forecast)** Inventory: Beginning Ending Average Backorders: Plan for types of output (must add up to the "Output total line above) Full time hires (layoffs) Full time staff (starting: Regular (@ )* Overtime (@ ) Temporary hires (layoffs) Temporary staff (starting: Temporary (@ )* Sub-contract (@ ) *for these two categories, determine how many people you need versus how many people you have and decide if you need to hire or layoff, do this for every quarter. **Use of this line is optional--if it helps you, feel free to use it, if not, ignore it. Costs Output type: Regular (@ $5.00/unit) Overtime (@ $7.50/unit) Temporary (@$12.00/unit ) Sub-contract (@$10.00/unit) Hiring costs @ $100/person) Layoff costs @ $500/FT person) Inventory costs @ $4/qtr-avg inv) Backorder costs @ $8/qtr ) Totals Total AGGREGATE PLANNING WORKSHEET Overall plan Period I IT TI IV Forecast Output total (Output total)-(Forecast) Inventory: Beginning Ending Average Backorders: Plan for types of output (must add up to the "Output total" line above) Full time hires (layoffs) Full time staff (starting) Regular (@ > Overtime Temporary hires (layoffs) Temporary staff starting Temporary (@ * Sub-contract (@ for these two categories, how rasy people you need versus how many people you have and decide if you need to hire or off do this for every quarter. ** Usedis line is about its you, die 1 sitif av igrice Costs Output type: Regular (@ $5.00/unit) Overtime @ $7.50/unit) Temporary (@$12.00/unit) Sub-contract @S10.00/unit) Hiring costs @ $100/person) Layoff costs @ $500/FT person) Inventory costs (@S4/qtr-avg inv) Backorder costs @ $8/qtr ) Totals AGGREGATE PLANNING WORKSHEET Overall plan Period I Forecast Output total IV Total (Output total)-(Forecast)** EXAMINATIONS Inventory: Beginning Ending Average Backorders: Plan for types of output (must add up to the "Output total" line above) Full time hires (layoffs) Full time staff (starting Regular (@ J Overtime (@ ) Temporary hires (layoffs) Temporary staff (starting Temporary (@ ) Sub-contract (@ for the locanegacies, determine how many people you need sus bow many people you have and decide if you need to hire or layot, do this for every quarter. **Use of the line is option it helps you feel thee to use in ignore Costs Output type: Regular (@ $5.00/unit) Overtime @ $7.50/unit) Temporary (@$12.00/unit) Sub-contract (@S10.00/unit) Hiring costs @ $100/person) Layoff costs @ $500/FT person) Inventory costs @ $4/qtr-avg inv) Backorder costs @ $8/qtr) Totals Total AGGREGATE PLANNING WORKSHEET Overall plan Period I II IV Forecast Output total (Output total)-(Forecast)** Inventory: Beginning Ending Average Backorders: Plan for types of output (must add up to the "Output total line above) Full time hires (layoffs) Full time staff (starting: Regular (@ )* Overtime (@ ) Temporary hires (layoffs) Temporary staff (starting: Temporary (@ )* Sub-contract (@ ) *for these two categories, determine how many people you need versus how many people you have and decide if you need to hire or layoff, do this for every quarter. **Use of this line is optional if it helps you, feel free to use it, if not, ignore it. Costs Output type: Regular (@ $5.00/unit Overtime (@ $7.50/unit) Temporary (@$12.00/unit ) Sub-contract (@$10.00/unit ) Hiring costs @ $100/person) Layoff costs @ $500/FT person) Inventory costs @ $4/qtr-avg inv) Backorder costs @ $8/qtr) Totals Mowers & Blowers Associates, Inc. Production work force: As of the first of the year, the production work force consists of 44 Full-Time employees. Additional Assumptions: MBA Inc. assembles lawn mowers and snow blowers from subassemblies and component parts provided by reliable vendors. Both products (end items) utilize the same small engines, many of the same parts and require the same assembly time and employee labor skills. On December 20, the Production Planning Committee of MBA Inc. is due to adopt an aggregate plan for the coming year. The available planning information is as follows: Information: Demand Forecasts 1) 2) Part Time employees may not work overtime Assume 100% utilization of Full-Time employees on regular time and of Part Time employees at all times (1.e., all such employees on the payroll during a period produce at the rates shown under Production Rates). Overtime utilization of Full-Time employees can be on an as needed basis subject to the limitation on maximum overtime output shown under Production Rates. Quarter Lawn Mowers Snow Blowers 3) Q-1 Q - II Q-III Q-IV 10,000 15,000 16,000 3,000 9,000 7,000 19,000 10,000 Given all of this planning information, develop a series of aggregate plans to meet the criteria presented in the following series of problems. Quarter - I Beginning Inventory: Mowers 600; blowers 400 1. A. B. Output and Costs: Regular Time $5.00 per unit Overtime $7.50 per unit Subcontract $10.00 per unit Part Time $12.00 per unit Inventory $4.00 per unit per quarter based on avg, inventory during each quarter Backorders $8.00 per unit per period (based on backorders at end of period) Hiring $100.00 per employee (Full-Time or Part-Time) Layoff $500.00 per employee (no cost if Part-Time) Production Rates: Regular 500 units per Full-Time employee per quarter (of'either unit) Overtime up to 200 units per Full-Time employee per quarter of either unit) Part Time 400 units per Part Time employee per quarter of either unit) Develop an aggregate plan which utilizes a level (constant) rate of output each quarter using only full-time employees without overtime. Ending inventory and backorders for quarter IV must be equal to zero. Summarize your plan and its cost consequences on an Aggregate Planning Worksheet. If each shipping container for a completed mower or blower requires 6 cu. ft. of space, what is the maximum amount of cubic feet of space that would be needed in the finished goods warehouse if your plan 1-A is adopted? (Assume that sales and production occur at a steady, daily rate within each quarter.) If the cost of each completed end item is $200.00, what is the maximum amount of capital that will be tied up in finished goods inventory during the year? (Continue with the assumption given for 1B.) C. Aggregate Planning Exercise This exercise occurs in two parts. The first utilizes the work sheet that appears on the next page. This work sheet will be used during lecture to present the basic calculations used in aggregate planning, The second part utilizes the Mowers and Blowers Associates, Inc. (MBA) exercise that starts on page 2. This exercise includes the aggregate planning homework, The primary formula is as follows. let = 1B:+Pt-St-BI Iet IBt Pt St B-- Inventory at the end of a time period (a calculated negative number becomes a backorder* with the ending inventory set to zero) Inventory at the beginning of a time period Output (Production) during a time period. Sales during a time period. Backorders* at the end of the prior time period. *Backorders occur when demand (customer orders) exceed available supply (production, or purchases, plus beginning inventory in a time period). As noted on the chapter, two of the primary aggregate planning approaches are level and chase. In practice, many companies utilize a hybrid approach, which is in between level and chase. In all aggregate planning problems, you will be given a beginning inventory number. In a level plan problem, you will also be given a required ending inventory number (for the end of the period of time-called the planning horizon--for which the plan is being prepared). To solve a level plan, you must first calculate the total output (production) needed for the entire planning horizon. In that case, use the following variation of the primary formula to calculate the total production output needed. Pt = let +SL-IB In a chase plan, production is set equal to the sales forecast in all time periods. Therefore, in a chase plan, inventory remains constant (the same as the starting inventory) across all time periods. In a hybrid plan, you will be given a production plan, and you will calculate the ending inventories in all time periods. The MBA exercise will also require you to calculate the average inventory in each time period. Average Inventory 1A=(let + Ibt)/2 2. Suppose that on December 21 the long range weather forecast is released by the weather service and more snow than normal is predicted. As a result, the Marketing Dept. raises their forecast for Quarter I sales of blowers from 9,000 to 11,000 units (the forecasts for the other quarters remain unchanged). You will now have to develop and analyze several alternative plans for next year. Keep in mind that each of these plans must include: Beginning Inv. of 600 mowers and 400 blowers Ending Inventory and backorders for Qtr. IV must be zero Each plan must have the same level total output rate each quarter Show each of your proposed plans, including the costs, on an Aggregate Planning Worksheet. A. Develop a plan that uses overtime by regular, full-time employees to meet the new demand conditions. B. Plan 2-B will use regular employees (no overtime) plus subcontracting to meet the new demand conditions. C. Another possibility would be to hire an additional full-time employee on Jan. 2 and employ him/her for the full year. 3. The V.P of Marketing is not all that happy with the large volume of backorders in your plan from question 1A. She asks that you develop a plan that requires no backorders at any time during the year. The V.P. of manufacturing says that he will insist that any such plan specify level output each quarter. The V.P. of Finance states that you no longer need to have a Qtr. IV ending inventory of zero but it should be as low as possible. A. Use the original demand data, beginning inventory, etc. from problem 1. Develop a plan that will meet the requirements of all three V.P.'s. B. What ending inventory for Qtr. IV will result