Question: I am struggling with this task: let c be the ellipse given by the equation ap D F . dr = dA C D ox





I am struggling with this task:
let c be the ellipse given by the equation





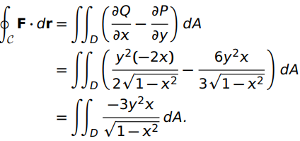
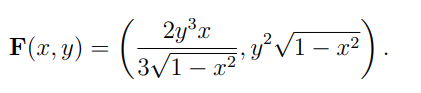
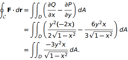
ap D F . dr = dA C D ox ay yz(-2x) -SJo( 2VI-X? 6y2x ddA 3v1-x2 -3y2x = dA. D V1 - x2
Step by Step Solution
There are 3 Steps involved in it
Get step-by-step solutions from verified subject matter experts
