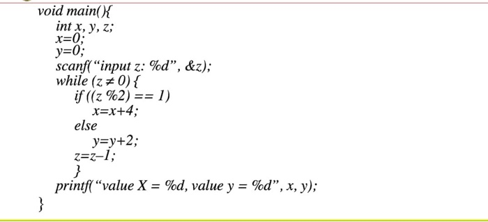
Question: I am trying to create a datapath using purely combinational logic. Trying to implement this C program. I was thinking of creating three registers ,
void main(X int x, y, z; r=0; y=0; scanf("input z: %d", &z); while (2+0){ if ((z%2) == 1) x=x+4; else y=y+2; z=21; printf("value X = %d, value y = %d", x, y); void main(X int x, y, z; r=0; y=0; scanf("input z: %d", &z); while (2+0){ if ((z%2) == 1) x=x+4; else y=y+2; z=21; printf("value X = %d, value y = %d", x, y)
Step by Step Solution
There are 3 Steps involved in it
Get step-by-step solutions from verified subject matter experts
