Question: I am working on an optimization problem, and I also need to solve it with Gurobi, but I am stuck at a point where I
I am working on an optimization problem, and I also need to solve it with Gurobi, but I am stuck at a point where I need to linearize an absolute function

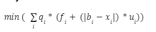
This is my objective function here:
fi,bi,ui are parameters which are continuous
qi: Binary decision variable
xi: Is a continuous decision variable
How can I linearize this function?
min ( 29;* f+ (1b; x D) * u;)) *
Step by Step Solution
There are 3 Steps involved in it
Get step-by-step solutions from verified subject matter experts
