Question: I conducted a virtual experiment using the javalab simulation called the Special Relativity: Time dilation using the link https://javalab.org/en/special_relativity_en/. The lab is to examine the
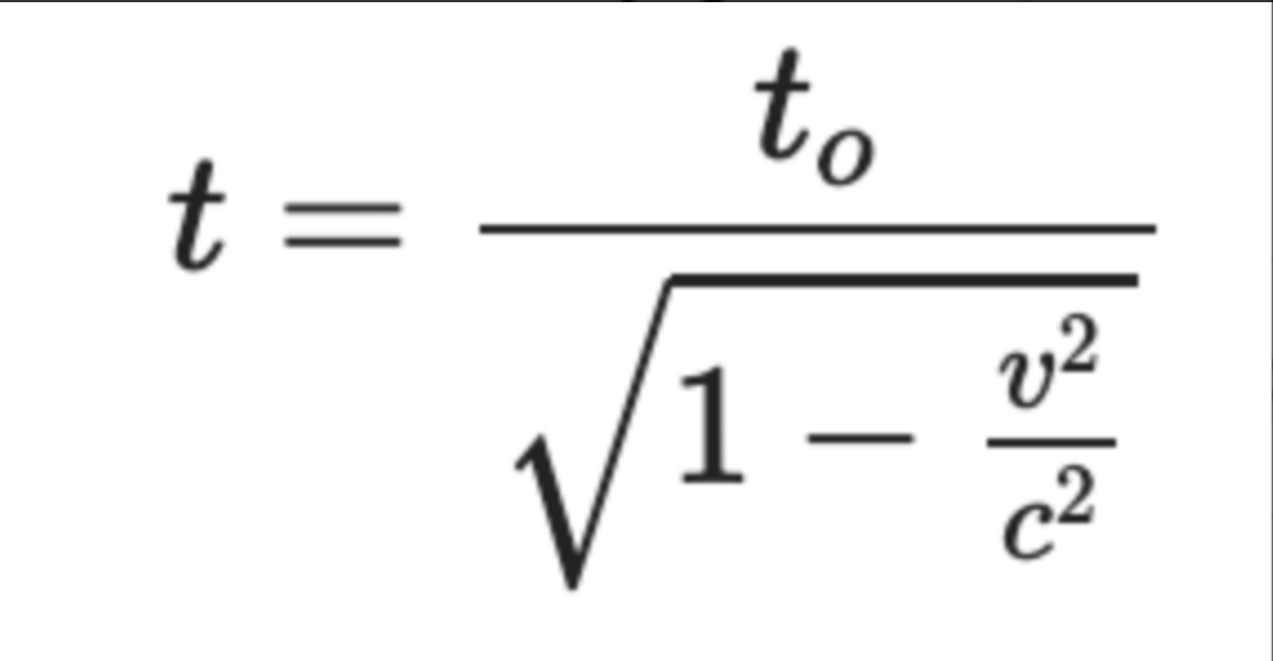
I conducted a virtual experiment using the javalab simulation called the Special Relativity: Time dilation using the link https://javalab.org/en/special_relativity_en/. The lab is to examine the elasped time measured by each observer inside of the moving spaceship (to) and outside of the moving spaceship (t).
The meanings of the symbols used in this simulation are as follows.
- L = Distance that light travels in a stationary state, (=ct?)
- c = Speed of light (? 299,792,458 m/s)
- t? = The transit time of light observed inside the spacecraft(or the transit time of light observed in a stationary state)
- t = The transit time of light observed outside the spacecraft
- v = The speed of the spaceship




Ratio of Time Outside and Inside of the Spaceship (At/At) 8 7 6 5 4 3 2 1 0 O 0.03 0.06 0.09 0.12 0.15 0.18 Ratio of Time Outside and Inside of the Spaceship vs Speed of the Spaceship Ratio of Speed of Spaceship and Speed of Light (v/c) 0.69 0.72 0.75 0.78 0.81 0.84 0.87 0.9 0.93 0.96 0.99Times Measured by an Observer Outside and Inside of the Spaceship (s) 6 2 W 0 O 0.03 0.06 0.09 Ratio of Speed of Spaceship and Speed of Light Times Measured by an Observer Outside and Inside of the Spaceship VS -Time observed outside of the spaceship (s) -Time observed inside of the spaceship (s) Ratio of Speed of Spaceship and Speed of Light (v/c) 0.84 0.87 0.93 0.96 0.99If the spacecraft is moving with speed v ct - - L = ct. - - - - vtto H
Step by Step Solution
There are 3 Steps involved in it
Get step-by-step solutions from verified subject matter experts
