Question: I desperately need help with these I don't really get the questions at all so if anyone is able to help with the answers or
I desperately need help with these I don't really get the questions at all so if anyone is able to help with the answers or explain the rules I'd be so appreciative

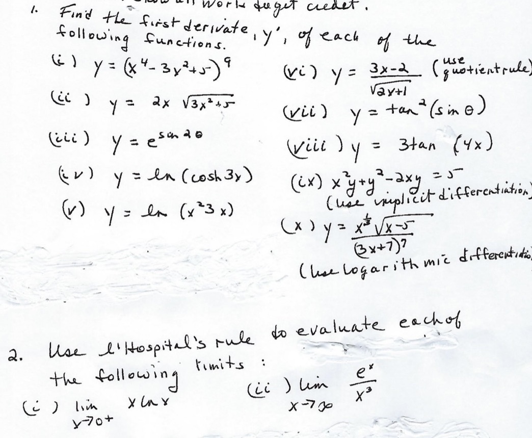
work quget credit. 1. Find the first derivate, y', of each of the following functions . ( i ) y = ( x 4 - 3 x 2 + 5 ) 9 ( vi ) y = 3 x - 2 (quotientrule (c ) y = 2x v3 x 2 45 Vay+1 ( vil ) y = tan? (sine ) ( i ) y= esmao Will Jy = 3tan (4x ) ( iv ) y = en ( cosh 3 x ) ( ( x ) x y+y ? - 2xy = J - ( v ) y = In ( x 23 x ) ( use implicit differentiation (x ) y = x # V x-S ( 3 x+ 7) 7 ( lose logarithmic differentiation 2. Use I'Hospital's rule to evaluate eachof, the following timits : ( ic ) lim e ( i ) lim . * LAY X - 7 go 1 70+
Step by Step Solution
There are 3 Steps involved in it
Get step-by-step solutions from verified subject matter experts
