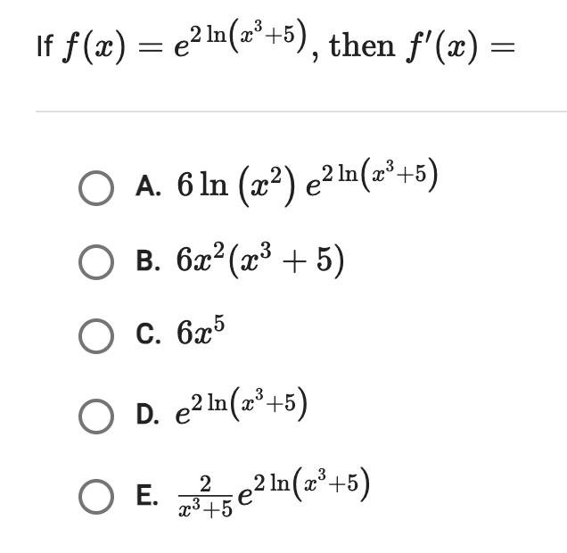
Question: I f f ( x ) = e 2 l n ( x 3 + 5 ) , then f ' ( x ) =
then
Step by Step Solution
There are 3 Steps involved in it
1 Expert Approved Answer
Step: 1 Unlock
Question Has Been Solved by an Expert!
Get step-by-step solutions from verified subject matter experts
Step: 2 Unlock
Step: 3 Unlock
