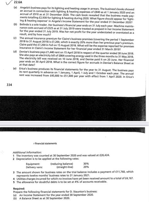
Question: i found difficulty in this question,please solve the question in details. this is the original look of the question i hope it helps 'e) Erica's

'e) Erica's business produces its financial statements for the year to 31 August. The business pays its rent quarterly in advance on 1 January, 1 April, 1 July and 1 October each year. The annual rent was increased from 45,600 to 51,600 per year with effect from 1 April 2020. In Erica's Additional information: 1 The inventory was counted at 30 September 2020 and was valued at 26,424. 2 Depreciation is to be applied at the following rates: 3 The amount shown for business rates on the trial balance includes a payment of 11,760, which represents twelve months' business rates to 31 January 2021. 4 Utilities charges incurred for which no invoices have yet been received amount to a total of 4,167. 5 The allowance for doubtful debts is to be set at 4% of accounts receivable. Required: Prepare the following financial statements for D. Staunton's business: (a) An Income Statement for the year ended 30 September 2020. (b) A Balance Sheet as at 30 September 2020 . (a) Angela's business pays for its lighting and heating usage in arrears. The business's books showed an accrual in connection with lighting & heating expenses of 840 as at 1 lanuary 2020 and an accrual of f910 as at 31 December 2020. The cash book revealed that the business made payments totalling 2,930 for lighting \& heating during 2020. What figure should appear for "lighting \& heating expense' in Angela's income Statement for the year ended 31 December 2020? (b) Belinda is a sole trader. Her business's financial year ends on 31 July each year. Machine maintenance costs accrued of 325 as at 31 July 2019 were treated as prepaid in her Income Statement. for the year ended 31 July 2019. Was her net profit for the year understated or overstated as a result, and by how much? (c) The annual insurance premium for Claire's business premises (covering the period 1 September 2018 to 31 August 2019) is f7,200, which is exactly 20% more than her previous year's premiurn. Claire paid the f7,200 in full on 15 August 2018. What will be the expense reported for premises insurance in Claire's Income 5tatement for her financial year ended 31 March 2019? (d) Denise's business pays 1,440 rent on 15 April 2018 in respect of the quarter ended 30 June 2018. She also pays an electricity bill of 2864 covering energy used in the three months to 31 May 2018. The electricity bill was received on 10 June 2018 , and Denise paid it on 20 June. Her financial year ends on 30 April 2018. What is the correct figure for accruals in Denise's Balance Sheet as at that date? (e) Erica's business produces its financlal statements for the year to 31 August. The business pays its rent quarterly in advance on 1 January, 1 April, 1 July and 1 October each year. The annual rent was increased from f45,600 to 51,600 per year with effect from 1 April 2020. In Erica's 334 r financlal statements Additional information: 1 The inventory was counted at 30 September 2020 and was valued at 26,424. 2 Depreciation is to be applied at the following rates: 3 The amount shown for business rates on the trial balance includes a payment of 111,760, which represents twelve months' business rates to 31 January 2021. 4 Utilities charges incurred for which no invoices have yet been received amount to a total of 4,167. 5 The allowance for doubtful debts is to be set at 4% of accounts receivable. Required: Prepare the following financial statements for D. Staunton's business: (a) An Income Statement for the year ended 30 September 2020. (b) A Balance Sheet as at 30 September 2020. 'e) Erica's business produces its financial statements for the year to 31 August. The business pays its rent quarterly in advance on 1 January, 1 April, 1 July and 1 October each year. The annual rent was increased from 45,600 to 51,600 per year with effect from 1 April 2020. In Erica's Additional information: 1 The inventory was counted at 30 September 2020 and was valued at 26,424. 2 Depreciation is to be applied at the following rates: 3 The amount shown for business rates on the trial balance includes a payment of 11,760, which represents twelve months' business rates to 31 January 2021. 4 Utilities charges incurred for which no invoices have yet been received amount to a total of 4,167. 5 The allowance for doubtful debts is to be set at 4% of accounts receivable. Required: Prepare the following financial statements for D. Staunton's business: (a) An Income Statement for the year ended 30 September 2020. (b) A Balance Sheet as at 30 September 2020 . (a) Angela's business pays for its lighting and heating usage in arrears. The business's books showed an accrual in connection with lighting & heating expenses of 840 as at 1 lanuary 2020 and an accrual of f910 as at 31 December 2020. The cash book revealed that the business made payments totalling 2,930 for lighting \& heating during 2020. What figure should appear for "lighting \& heating expense' in Angela's income Statement for the year ended 31 December 2020? (b) Belinda is a sole trader. Her business's financial year ends on 31 July each year. Machine maintenance costs accrued of 325 as at 31 July 2019 were treated as prepaid in her Income Statement. for the year ended 31 July 2019. Was her net profit for the year understated or overstated as a result, and by how much? (c) The annual insurance premium for Claire's business premises (covering the period 1 September 2018 to 31 August 2019) is f7,200, which is exactly 20% more than her previous year's premiurn. Claire paid the f7,200 in full on 15 August 2018. What will be the expense reported for premises insurance in Claire's Income 5tatement for her financial year ended 31 March 2019? (d) Denise's business pays 1,440 rent on 15 April 2018 in respect of the quarter ended 30 June 2018. She also pays an electricity bill of 2864 covering energy used in the three months to 31 May 2018. The electricity bill was received on 10 June 2018 , and Denise paid it on 20 June. Her financial year ends on 30 April 2018. What is the correct figure for accruals in Denise's Balance Sheet as at that date? (e) Erica's business produces its financlal statements for the year to 31 August. The business pays its rent quarterly in advance on 1 January, 1 April, 1 July and 1 October each year. The annual rent was increased from f45,600 to 51,600 per year with effect from 1 April 2020. In Erica's 334 r financlal statements Additional information: 1 The inventory was counted at 30 September 2020 and was valued at 26,424. 2 Depreciation is to be applied at the following rates: 3 The amount shown for business rates on the trial balance includes a payment of 111,760, which represents twelve months' business rates to 31 January 2021. 4 Utilities charges incurred for which no invoices have yet been received amount to a total of 4,167. 5 The allowance for doubtful debts is to be set at 4% of accounts receivable. Required: Prepare the following financial statements for D. Staunton's business: (a) An Income Statement for the year ended 30 September 2020. (b) A Balance Sheet as at 30 September 2020
Step by Step Solution
There are 3 Steps involved in it
Get step-by-step solutions from verified subject matter experts
