Question: I got this question wrong on my midterm, can you please solve and show steps/ work on how to get the correct solution. Thank you.
I got this question wrong on my midterm, can you please solve and show steps/ work on how to get the correct solution. Thank you.

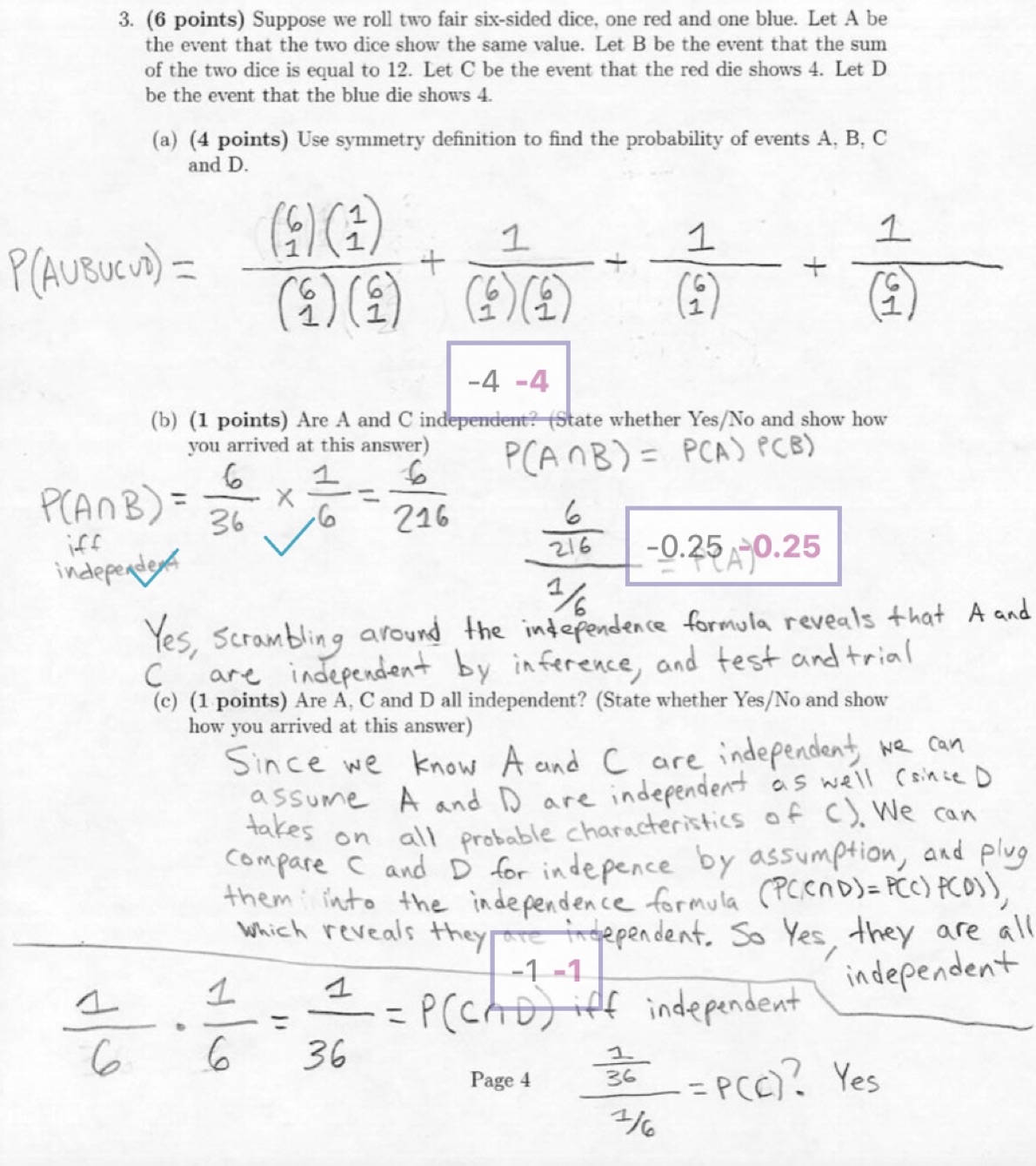
3. (6 points) Suppose we roll two fair six-sided dice, one red and one blue. Let A be the event that the two dice show the same value. Let B be the event that the sum of the two dice is equal to 12. Let C be the event that the red die shows 4. Let D be the event that the blue die shows 4. (a) (4 points) Use symmetry definition to find the probability of events A, B, C and D. P ( A UBUCUD ) = ( $ ) ( 1 1 1 + ( 2 ) (2 ) ( 6 ) (1 ) -4 -4 (b) (1 points) Are A and C independent? (State whether Yes/No and show how you arrived at this answer) 6 1 6 P(AnB ) = PCA) PCB ) P ( AnB ) = X 36 216 6 iff independent 216 -0.25 -0.25 7/6 Yes, Scrambling around the independence formula reveals that A and C are independent by inference, and test and trial (c) (1 points) Are A, C and D all independent? (State whether Yes/No and show how you arrived at this answer) Since we know A and C are independent we can assume A and D are independent as well (since D takes on all probable characteristics of C ) . We can Compare C and D for indepence by assumption, and plug them into the independence formula (PC. (nD )= PCC ) PCD) ). which reveals they independent. So Yes, they are all 1 -1 -1 1 independent .= P(CAD) iff independent 36 Page 4 36 = PCC) ? Yes 2/6
Step by Step Solution
There are 3 Steps involved in it
Get step-by-step solutions from verified subject matter experts
