Question: I have a query regarding the solution given for the question in bold below. I would like to know in much more detail why the

I have a query regarding the solution given for the question in bold below.

I would like to know in much more detail why the equations are not satisfied for the points:

(1,1,?1)(1,?1,0)(?1,0,?1)(9,9,3)

Violations are underlined in RED within the given solution.

Please explain clearly showing each step as thoroughly as possible. If you are using hand written notes, then please ensure they are neat and legible, as it is difficult to interpret illegible hand-written notes. Alternatively, use LaTex.

QUESTION

I have a query regarding the solution given forI have a query regarding the solution given forI have a query regarding the solution given forI have a query regarding the solution given forI have a query regarding the solution given forI have a query regarding the solution given for
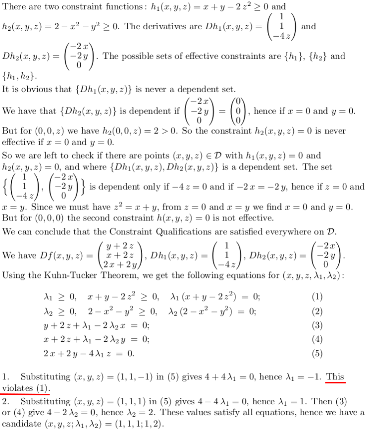
\fCheck for which points the Constraint Qualifications are satisfied.Formulate the Kuhn-Tucker equations whose solutions provide informationabout the maxima of f on D. (You do not have to solve these equations!) Which of the following points are candidate maxima, according to these equations? (1.) (x, y, 2) = (1, 1, -1); (2.) (x, y, =) = (1, 1,1); (3.) (x, y, 2) = (1, -1,0); (4.) (x, y, 2) = (-1, 1,0); (5.) (x, y, 2) = (9,9, -3).There are two constraint functions: hi(x, y, 2) = x ty -2 2 2 0 and h2(x, y, z) = 2 - x2 - y2 2 0. The derivatives are Dhi (r, y, 2) = 1 and -2x Dh2(x, y, 2) = -2y . The possible sets of effective constraints are {h1 }, {h2} and 0 [h1, h2}. It is obvious that {Dhi (x, y, z)} is never a dependent set. -21 We have that {Dh2(x, y, 2) } is dependent if -2y hence if x = 0 and y = 0. 0 But for (0, 0, z) we have h2(0, 0, z) = 2 > 0. So the constraint h2(x, y, z) = 0 is never effective if x = 0 and y = 0. So we are left to check if there are points (x, y, z) ED with hi(x, y, z) = 0 and h2(x, y, z) = 0, and where {Dhi(x, y, z), Dh2(x, y, z)} is a dependent set. The set ((1 ). ( v) } is dependent only if - 4 = y. Since we must have z? = a + y, from z = 0 and x = y we find x = 0 and y = 0. But for (0, 0, 0) the second constraint h(x, y, z) = 0 is not effective. We can conclude that the Constraint Qualifications are satisfied everywhere on D. y+2z -2x We have Df(x, y, z) = r+22 1, Dhi (x, y, 2) = Dha(x, y, 2) = -2y 2x + 2y 4z 0 Using the Kuhn-Tucker Theorem, we get the following equations for (r, y, z, )1, 12) : X1 20, xty -22 20, Al(xty - 222) = 0; e 12 2 0, 2- x2 - y2 > 0, 12 (2 - 12 - y?) = 0; y + 2z +Al -2121 = 0; (3) r + 2z + >1 -212y = 0; (4) 2x+2y - 412 = 0. (5) 1. Substituting (x, y, z) = (1, 1, -1) in (5) gives 4 + 4x1 = 0, hence A1 = -1. This violates (1). 2. Substituting (x, y, z) = (1, 1, 1) in (5) gives 4-4 X1 = 0, hence A1 = 1. Then (3) or (4) give 4- 2 12 = 0, hence 12 = 2. These values satisfy all equations, hence we have a candidate (r, y, z; A1, A2) = (1, 1, 1; 1, 2).3. Substituting (3313!: s) = [1, 1,{]) into (3} gives 1 +5.1 2.1.2 = 0, while substituting into (4} gives 1 | A] 2A2 = D. The only solution of these two equations is A1 = [l and A2 = 1j2. This \"I.riolatcsr [2), so this point is no candidate maximum. 4. The point (:1:1 3;, z} = {1,1,{]) is no candidate maximum for the same reasons as the point (1, 1, D} in 3. above. 5. The point (I, y, z} = (Q, Q, 3) fails the second inequality in 52!, house cannot be a candidate maximum

Step by Step Solution

There are 3 Steps involved in it

1 Expert Approved Answer
Step: 1 Unlock blur-text-image
Question Has Been Solved by an Expert!

Get step-by-step solutions from verified subject matter experts

Step: 2 Unlock
Step: 3 Unlock

Students Have Also Explored These Related Mathematics Questions!