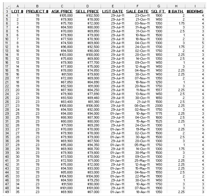
Question: I have the current excel sheet (but it goes on for 600 more rows). How do I take information or certain columns/rows out and make
I have the current excel sheet (but it goes on for 600 more rows). How do I take information or certain columns/rows out and make a new chart while leaving the existing one? I am needing to break each different project #/section into its own charts to compare all the projects to one another analyzing which one is the best for a small business to invest into for phase two of a project.

\begin{tabular}{|c|c|c|c|c|c|c|c|c|c|} \hline-4 & A & B & C & D & E & F & G & H & 1 \\ \hline 3 & LDT \# & PBOJECT\# & ASK PBICE & SELLPBICE & LIST DATE & SALE DATE & SD.FL & \#BATH. & \#BDBMS \\ \hline 4 & 11 & 7878 & $105,000 & $102,500 & 29-Jul-11 & 23-0ot-11 & 1900 & 2 & 4 \\ \hline 5 & 2 & 78 & $79,900 & $78,000 & 29Jul11 & 21-0ot-11 & 1450 & 2 & 4 \\ \hline 6 & 3 & 78 & $75,700 & $72,000 & 29-Jul-11 & 03-Nov-11 & 1350 & 1.75 & 4 \\ \hline 7 & 4 & 78 & $84,500 & $80,000 & 29Jul11 & 31-Aug-11 & 1600 & 3 & 3 \\ \hline 8 & 5 & 78 & $70,000 & $69,850 & 29Jul11 & 31-Dot-11 & 1300 & 2.5 & 3 \\ \hline 9 & 6 & 78 & $79,900 & $79,000 & 29 Jul- 11 & 10 Nov- 11 & 1500 & 1 & 4 \\ \hline 10 & 7 & 78 & $77,500 & $70,900 & 29-Jul-11 & 18-Nov-11 & 1300 & 2 & 3 \\ \hline 11 & 8 & 78 & $74,500 & $69,800 & 29-Jul-11 & 04-Dct-11 & 1300 & 3 & 5 \\ \hline 12 & 9 & 78 & $96,800 & $92,500 & 29Jul11 & 24-Dot-11 & 1700 & 1.75 & 2 \\ \hline 13 & 10 & 78 & $94,500 & $90,000 & 29 Jul- 11 & 02-0ot-11 & 1750 & 2 & 4 \\ \hline 14 & 11 & 78 & $103,000 & $100,000 & 29-Jul-11 & 200ct11 & 1850 & 2.25 & 3 \\ \hline 15 & 12 & 78 & $75,600 & $69,800 & 29Jul11 & 14-Dct-11 & 1350 & 2.5 & 4 \\ \hline 16 & 13 & 78 & $79,900 & $77,700 & 29-Jul-11 & 09-0ot-11 & 1450 & 1 & 4 \\ \hline 17 & 14 & 78 & $77,800 & $75,000 & 29-Jul-11 & 12-Aug- 11 & 1450 & 3 & 4 \\ \hline 18 & 15 & 78 & $78,000 & $74,850 & 29-Jul-11 & 04-Nov-11 & 1450 & 2.25 & 3 \\ \hline 19 & 16 & 78 & $81,500 & $79,600 & 29Jul11 & 300ct11 & 1450 & 2.25 & 4 \\ \hline 20 & 17 & 78 & $72,000 & $69,000 & 29-Jul-11 & 07 -Nou-11 & 1350 & 2 & 4 \\ \hline 21 & 18 & 78 & $67,850 & $64,890 & 29-Jul-11 & 18-Nov-11 & 1250 & 1 & 4 \\ \hline 22 & 19 & 78 & $92,500 & $91,000 & 29 Jul-11 & 20 Nov-11 & 1750 & 3 & 4 \\ \hline 23 & 20 & 78 & $87,900 & $84,250 & 29-Jul-11 & 11-Nov-11 & 1557 & 2.25 & 4 \\ \hline 24 & 21 & 78 & $79,900 & $77,890 & 29Jul11 & 13-Nou-11 & 1450 & 2.5 & 4 \\ \hline 25 & 22 & 78 & $93,500 & $89,460 & 29-Jul-11 & 300ot11 & 1650 & 2 & 3 \\ \hline 26 & 23 & 23 & $83,400 & $81,380 & 01-Jun-11 & 21-Jul-11 & 1500 & 2.5 & 4 \\ \hline 27 & 23 & 78 & $108,000 & $106,000 & 29-Jul-11 & 08 Dec-11 & 2000 & 2.25 & 4 \\ \hline 28 & 24 & 78 & $94,500 & $92,000 & 29-Jul-11 & 02 Nov-11 & 1750 & 3 & 4 \\ \hline 29 & 25 & 23 & $94,000 & $94,000 & 01-Jan-11 & 10Apr11 & 1775 & 2.25 & 3 \\ \hline 30 & 25 & 78 & $88,900 & $87,900 & 29-Jul-11 & 04-0ot-11 & 1600 & 2.5 & 4 \\ \hline 31 & 26 & 23 & $80,000 & $80,000 & 01-Jan-11 & 15Apr11 & 1525 & 2.25 & 3 \\ \hline 32 & 26 & 78 & $71,500 & $69,280 & 29Jul11 & 24-0ct-11 & 1300 & 1 & 4 \\ \hline 33 & 27 & 23 & $70,000 & $70,000 & 01-Jan-11 & 19-Mar-11 & 1300 & 2.25 & 3 \\ \hline 34 & 27 & 78 & $79,900 & $78,000 & 29-Jul-11 & 02-0ot-11 & 1500 & 2 & 4 \\ \hline 35 & 28 & 23 & $79,900 & $79,000 & 01-Jan-11 & 30Apr11 & 1500 & 2.5 & 4 \\ \hline 36 & 28 & 78 & $69,900 & $67,500 & 29-Jul-11 & 200ct11 & 1300 & 3 & 4 \\ \hline 37 & 29 & 23 & $95,000 & $94,350 & 01-Jan-11 & 05-May-11 & 1750 & 1 & 4 \\ \hline 38 & 29 & 78 & $69,900 & $68,700 & 29-Jul-11 & 14-0ot-11 & 1300 & 1.75 & 4 \\ \hline 39 & 30 & 23 & $79,900 & $79,800 & 01-Jan-11 & 30-Mar-11 & 1500 & 3 & 3 \\ \hline 40 & 30 & 78 & $73,500 & $70,000 & 29-Jul-11 & 090ct11 & 1300 & 2 & 4 \\ \hline 41 & 31 & 23 & $72,500 & $71,000 & 01-Jan-11 & 25-y-11 & 1300 & 2.25 & 4 \\ \hline 42 & 31 & 78 & $75,000 & $72,000 & 29-Jul-11 & 12-Aug- 11 & 1450 & 2.25 & 4 \\ \hline 43 & 32 & 23 & $94,500 & $93,000 & 01-Jan-11 & 15-May-11 & 1700 & 2.25 & 3 \\ \hline 44 & 32 & 78 & $85,600 & $83,000 & 29Jul11 & 04-Nov-11 & 1550 & 2.5 & 4 \\ \hline 45 & 33 & 23 & $104,500 & $104,000 & 01-Jan-11 & 22-Mar-11 & 1900 & 2 & 2 \\ \hline 46 & 33 & 78 & $84,500 & $79,250 & 29-Jul-11 & 300t11 & 1450 & 1 & 4 \\ \hline 47 & 34 & 23 & $91,500 & $90,000 & 01-Jan-11 & 10Apr11 & 1750 & 3 & 3 \\ \hline 48 & 34 & 78 & $101,000 & $101,000 & 29-Jul-11 & 07 -Nov-11 & 1900 & 3 & 3 \\ \hline 49 & 35 & 23 & $69.900 & $67.000 & 01-Jan-11 & 18ADID11 & 1350 & 2.25 & 3 \\ \hline \end{tabular}
Step by Step Solution
There are 3 Steps involved in it
Get step-by-step solutions from verified subject matter experts
