Question: i have this its an assignment and i need help for this using minitab 1)Use the distance matrix shown in the following table to create


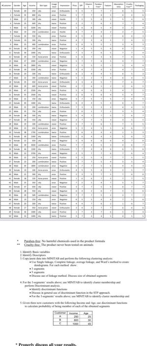
1)Use the distance matrix shown in the following table to create a denogram using the single linkage method: H A C D E F A 00 B 26 00 C SO 3.8 00 D 16 2. 45 00 E 24 1.1 40 20 00 F 42 4.2 1 4 4.9 00 G 5.9 6.0 1 59 00 56 H 61 5.7 62 Group the clements into segments as follows: ( Two segments List elements in each segment (ii) Three segments. List elements in cach segment (i) Five segments List elements in each segment 00 10 D B E F G 1 2 3 5 2)Use Ward's method to calculate Error Sum of Square for all missing values in the following table. Create a denogram using calculated values Customer A C Tul Sage Variable 1 . 7 10 1 7 Second Stage AB BD AC 3 4 NE CE AE SC- BD- CD- AB Ted Stage 3 Tour Stage ADE- AC C acbte AC ADE Fing ABCDE 3)A market research was performed on face-moisturizing products for the purpose of segmenting the customers into different categories a survey was conducted in order to get a better understanding of the consumers' needs. Given data in the below table: + + . + . . . . + . 11 - . . . . - . . - 3 . - . - . . . 0 . . . . * . * . . - . H . 6 + + 19 3 mm . . . . 1 . Database Nolumu chomwen the product forma ** C. The prima I. 1 Copped MINTA prestating the Singapore d. diameter W MINTA par tyre. Disco lo www.MINITAR 5.Given here we go . 25 1000 Properly discuss all your results be Abortion PICS Texture E > 7 6 5 5 55 5 7 1 4 6 5 52 6 5 5 4 9 2 3 7 6 5 2 7 . 5 6 6 3 1 . 7 4 4 2 2 7 5 5 . 5 7 . 7 3 E 6 7 5 1 E 9 5 5 3 + 3 1 1 5 5 9 7 3 2 5 1 2 : 5 7 4 5 2 2 2 7 5 5 1 3 4 5 5 1 5 34 6 1 55 7 4 3 4 2 5 9C 4 6 S 7 . 6 4 5 . 5 7 7 9 7 6 5 5 2 3 6 5 5 . 6 S 4 7 S 2 5 5 5 4 7 3 E 7 5 5 7 . 5 4 4 5 9 5 7 7 E 3 3 3 4 4 5 Custom Usage Gender Income wel 20250 |tashanam 2 Pemale 35 300 dry 3 Male 27 100 never Hot . Female 2500 5 52 3200 dry never 6 19 250 combination Once Hot 7 Tema 24 50 dry B Female 19 2000 twice Potive 9 Male 23 400 combination once Positive 10 lemsle 1200 never give 11 30 1000 dry 12 m 20 150 Acne prone once Positive Male 2000 combination once give 14 Male 45 2000 dry never Negative 15 female 39 1500 once Positive 20 200 dry twice 17 Male 22 200 combination 18 female 25 450Acne prone never that 19 Male 29 600 Acne neve Positive 20 Male 2500 Twice Positive 21 55 2500 Putive 22 Male 21 150 once 23 som 40 1000 or TWICE 24 25 200 combination twice Ents 25 Male 35 750 once Positive 26 28 500 Tege 27 female 30 550 never negative 28 Male 19100 combination never Positive 29 Male 23 650 Acne Negative 30 1700 combination 10 2300 12 Home 22 650 Once 33 Male 4500 combination Once Pove f 44 1500 dry twice Enth 35 Male 33 3700 36 Male 22 250 Acre 17 23 200 combination twice Positive Male 1800 min ne gre 1919 100 Acero an 40 Male 22 100 dry onceive 41 35 150chere never Partie 25 350 once Negative 43 female 3750 never Positive 44 female 28 450 never give Male 500 combination 46 Male 19250 once Negative 47 female 20 200 dry twice 48 27 450 Acne prone never Enthus 49 36 1000 50 Male 1000 dry 7 1 ? 2 3 S 4 5 4 1 7 + 6 7 2 7 5 3 3 5 5 5 57 5 6 5 5 5 5 5 $ 1 1 3 5 1 5 TE 1. . 5 6 7 5 + . . 5 5 + GE 7 5 4 6 > HE 7 4 6 9 5 6 2 5 2 2 7 6 7 7 5 1 1 5 $ 77 7 5 . S . 5 7 5 6 . 4 3 4 5 4 2 5 7 2 1 5 7 5 7 5 9 1 1 9 6 2 7 1 5 4 7 5 5 7 3 7 7 5 5 7 7 6 4 2 5 S 2 5 2 2 2 2 7 65 5 4 7 5 6 4 7 9 2 1 9 7 3 3 2 9. 6 6 1 7 . 3 7 2 7 7 5 4 5 1 5 1)Use the distance matrix shown in the following table to create a denogram using the single linkage method: H A C D E F A 00 B 26 00 C SO 3.8 00 D 16 2. 45 00 E 24 1.1 40 20 00 F 42 4.2 1 4 4.9 00 G 5.9 6.0 1 59 00 56 H 61 5.7 62 Group the clements into segments as follows: ( Two segments List elements in each segment (ii) Three segments. List elements in cach segment (i) Five segments List elements in each segment 00 10 D B E F G 1 2 3 5 2)Use Ward's method to calculate Error Sum of Square for all missing values in the following table. Create a denogram using calculated values Customer A C Tul Sage Variable 1 . 7 10 1 7 Second Stage AB BD AC 3 4 NE CE AE SC- BD- CD- AB Ted Stage 3 Tour Stage ADE- AC C acbte AC ADE Fing ABCDE 3)A market research was performed on face-moisturizing products for the purpose of segmenting the customers into different categories a survey was conducted in order to get a better understanding of the consumers' needs. Given data in the below table: + + . + . . . . + . 11 - . . . . - . . - 3 . - . - . . . 0 . . . . * . * . . - . H . 6 + + 19 3 mm . . . . 1 . Database Nolumu chomwen the product forma ** C. The prima I. 1 Copped MINTA prestating the Singapore d. diameter W MINTA par tyre. Disco lo www.MINITAR 5.Given here we go . 25 1000 Properly discuss all your results be Abortion PICS Texture E > 7 6 5 5 55 5 7 1 4 6 5 52 6 5 5 4 9 2 3 7 6 5 2 7 . 5 6 6 3 1 . 7 4 4 2 2 7 5 5 . 5 7 . 7 3 E 6 7 5 1 E 9 5 5 3 + 3 1 1 5 5 9 7 3 2 5 1 2 : 5 7 4 5 2 2 2 7 5 5 1 3 4 5 5 1 5 34 6 1 55 7 4 3 4 2 5 9C 4 6 S 7 . 6 4 5 . 5 7 7 9 7 6 5 5 2 3 6 5 5 . 6 S 4 7 S 2 5 5 5 4 7 3 E 7 5 5 7 . 5 4 4 5 9 5 7 7 E 3 3 3 4 4 5 Custom Usage Gender Income wel 20250 |tashanam 2 Pemale 35 300 dry 3 Male 27 100 never Hot . Female 2500 5 52 3200 dry never 6 19 250 combination Once Hot 7 Tema 24 50 dry B Female 19 2000 twice Potive 9 Male 23 400 combination once Positive 10 lemsle 1200 never give 11 30 1000 dry 12 m 20 150 Acne prone once Positive Male 2000 combination once give 14 Male 45 2000 dry never Negative 15 female 39 1500 once Positive 20 200 dry twice 17 Male 22 200 combination 18 female 25 450Acne prone never that 19 Male 29 600 Acne neve Positive 20 Male 2500 Twice Positive 21 55 2500 Putive 22 Male 21 150 once 23 som 40 1000 or TWICE 24 25 200 combination twice Ents 25 Male 35 750 once Positive 26 28 500 Tege 27 female 30 550 never negative 28 Male 19100 combination never Positive 29 Male 23 650 Acne Negative 30 1700 combination 10 2300 12 Home 22 650 Once 33 Male 4500 combination Once Pove f 44 1500 dry twice Enth 35 Male 33 3700 36 Male 22 250 Acre 17 23 200 combination twice Positive Male 1800 min ne gre 1919 100 Acero an 40 Male 22 100 dry onceive 41 35 150chere never Partie 25 350 once Negative 43 female 3750 never Positive 44 female 28 450 never give Male 500 combination 46 Male 19250 once Negative 47 female 20 200 dry twice 48 27 450 Acne prone never Enthus 49 36 1000 50 Male 1000 dry 7 1 ? 2 3 S 4 5 4 1 7 + 6 7 2 7 5 3 3 5 5 5 57 5 6 5 5 5 5 5 $ 1 1 3 5 1 5 TE 1. . 5 6 7 5 + . . 5 5 + GE 7 5 4 6 > HE 7 4 6 9 5 6 2 5 2 2 7 6 7 7 5 1 1 5 $ 77 7 5 . S . 5 7 5 6 . 4 3 4 5 4 2 5 7 2 1 5 7 5 7 5 9 1 1 9 6 2 7 1 5 4 7 5 5 7 3 7 7 5 5 7 7 6 4 2 5 S 2 5 2 2 2 2 7 65 5 4 7 5 6 4 7 9 2 1 9 7 3 3 2 9. 6 6 1 7 . 3 7 2 7 7 5 4 5 1 5
Step by Step Solution
There are 3 Steps involved in it
Get step-by-step solutions from verified subject matter experts
