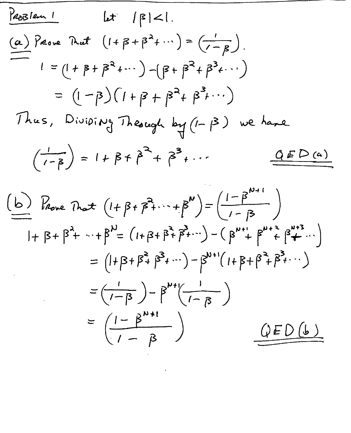
Question: I have two problems to solve (one question, 2 parts). I know the answers but I don't understand what math rules/principles I apply. In other
I have two problems to solve (one question, 2 parts). I know the answers but I don't understand what math rules/principles I apply. In other words I need help getting through the answers. What math do I need to apply/learn. Your help is greatly appreciated.

PROBlem 1 Let 1 81
Step by Step Solution
There are 3 Steps involved in it
Get step-by-step solutions from verified subject matter experts
