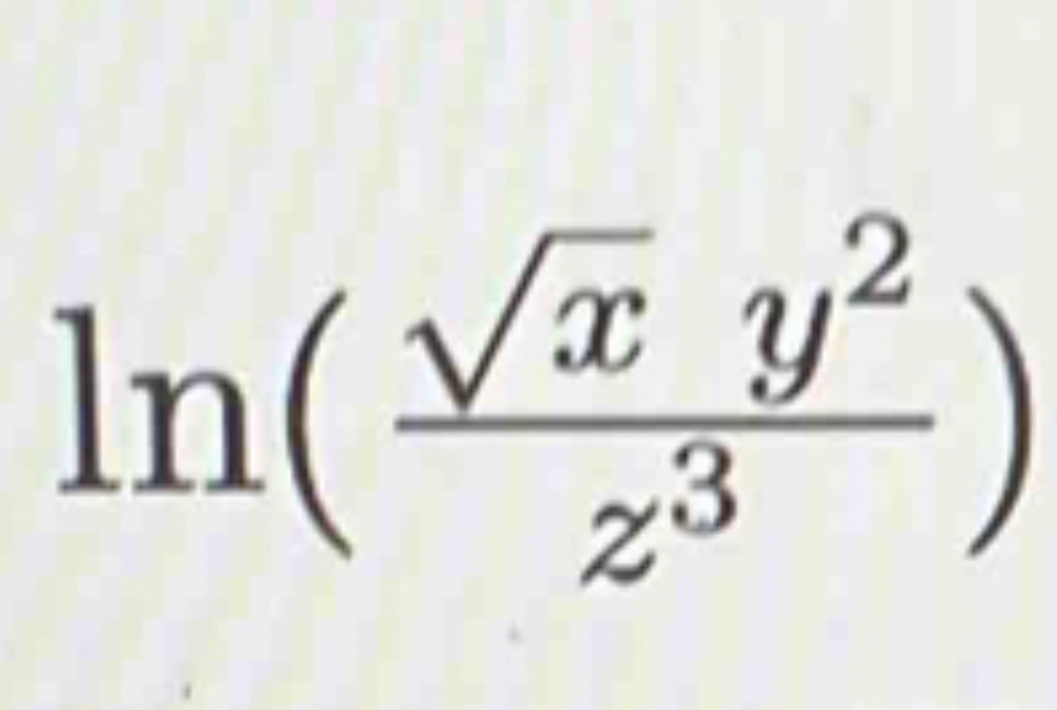
Question: I keep getting different answers when trying to find the correct answer. Can anyone show me how to figure this one out? Or one similar
I keep getting different answers when trying to find the correct answer. Can anyone show me how to figure this one out? Or one similar
This is the work and the answer that I've come to.


\fa In ( J X 2 In xz + ny - In 2 7 7. Inx + 2y - 31nz
Step by Step Solution
There are 3 Steps involved in it
Get step-by-step solutions from verified subject matter experts
