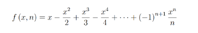
Question: i n octave, Build a function that, given x and n , calculates the value o f : f ( x , n ) =
octave, Build a function that, given and calculates the value :
Step by Step Solution
There are 3 Steps involved in it
1 Expert Approved Answer
Step: 1 Unlock
Question Has Been Solved by an Expert!
Get step-by-step solutions from verified subject matter experts
Step: 2 Unlock
Step: 3 Unlock
