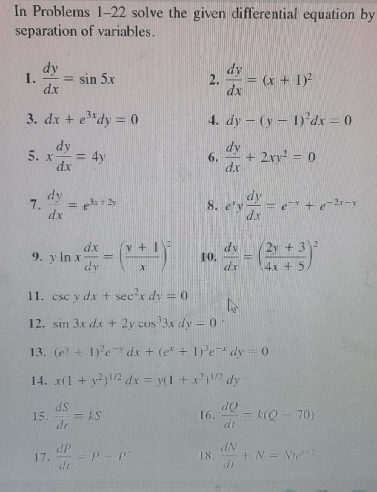
Question: I n Problems 1 - 2 2 solve the given differential equation b y separation o f variables. d y d x = s i
Problems solve the given differential equation
separation variables.
Step by Step Solution
There are 3 Steps involved in it
1 Expert Approved Answer
Step: 1 Unlock
Question Has Been Solved by an Expert!
Get step-by-step solutions from verified subject matter experts
Step: 2 Unlock
Step: 3 Unlock
