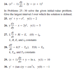
Question: I n Problems 2 4 find the general solution o f the given differential equation. Give the largest interval I over which the general solution
Problems find the general solution the given differential
equation. Give the largest interval I over which the
general solution defined. Determine whether there are any
transient terms the general solution.
Problems solve the given initialvalue problem.
Give the largest interval I over which the solution defined.
and constants
;
and constants
Step by Step Solution
There are 3 Steps involved in it
1 Expert Approved Answer
Step: 1 Unlock
Question Has Been Solved by an Expert!
Get step-by-step solutions from verified subject matter experts
Step: 2 Unlock
Step: 3 Unlock
