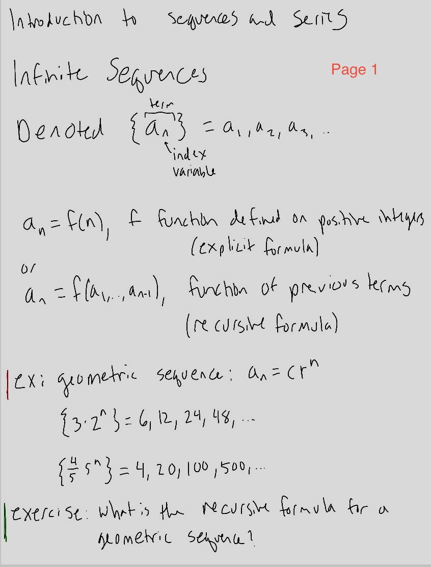
Question: I n these calc I I notes ( l a b e l e d pages 1 through 5 ) find a t least one
these calc notes pages through find least one error omission that demonstrates understanding the lesson.
Step by Step Solution
There are 3 Steps involved in it
1 Expert Approved Answer
Step: 1 Unlock
Question Has Been Solved by an Expert!
Get step-by-step solutions from verified subject matter experts
Step: 2 Unlock
Step: 3 Unlock
