Question: I need a help for this question #1. I have already given all resource and equation 8.7 8.8 which the question need. I will give
I need a help for this question #1. I have already given all resource and equation 8.7 8.8 which the question need. I will give a 'helpful' rate for your answer. Thanks for your help.




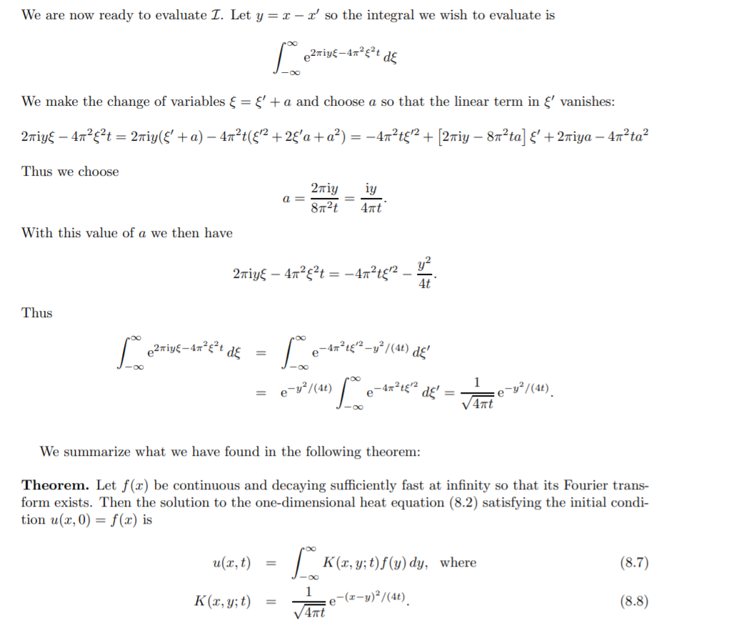
8.6 Exercises #1. Consider the partial differential equation for u = u(x, t): at + (1 - a)- , t> 0, -00
Step by Step Solution
There are 3 Steps involved in it
Get step-by-step solutions from verified subject matter experts
