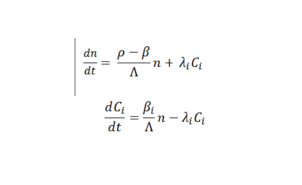
Question: I need a MATLAB code for Runge-Kutta or RK4 method which I will use to solve and plot the point kinetic equation of a nuclear
I need a MATLAB code for Runge-Kutta or RK4 method which I will use to solve and plot the point kinetic equation of a nuclear reactor

dtdn=n+iCidtdCi=iniCi
Step by Step Solution
There are 3 Steps involved in it
Get step-by-step solutions from verified subject matter experts
