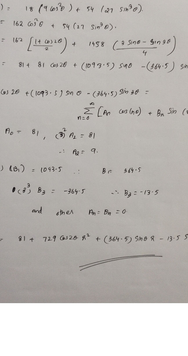
Question: I need answer 18 ( 9 ( 05 0 ) + 54 (27 sin30 ). F 162 COS 8 + 54 ( 27 sing Q
I need answer

18 ( 9 ( 05 0 ) + 54 (27 sin30 ). F 162 COS 8 + 54 ( 27 sing Q ). 162 [ 14 (0 ) 28 ) + 1958 ( 3 Sino - gingo 4 81 + 81 CDS 20 + ( 10 9 3 . 5 ) sino - ( 364 . 5 ) sir Co) 20 + ( 1093 . 5 ) sino - (369. 5 ) Sin 30 = I [An cos ( no ) + Bn Sin ( n = 0 Ao = 81 , ( 3 ) AL = 81 -: AQ = 9. J ( BI ) = 1093 - 5 BE= 364-5 . ( 3 ) B3 = - 364-5 - By = - 13.5 and other An = Bn = 0. 81 + 729 Cos20 9 + ( 364 . 5 ) Sino 8 - 13.5 5
Step by Step Solution
There are 3 Steps involved in it
Get step-by-step solutions from verified subject matter experts
