Question: I need entire process to solve these problems rather than the solutions Exercise. If you know that hmgns (1?) =5 and limz_,5 g(:c) = 2,
I need entire process to solve these problems rather than the solutions




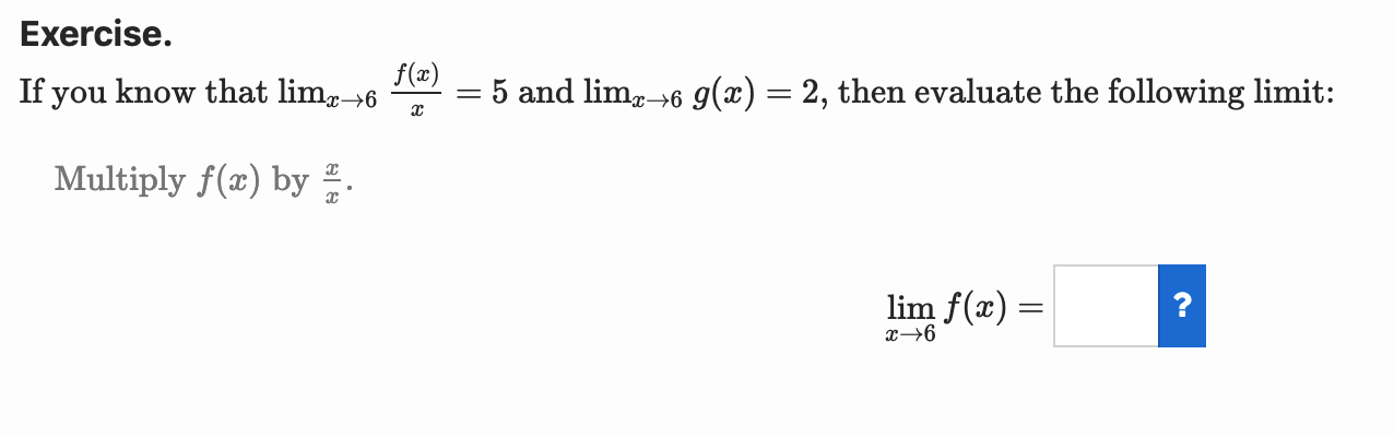
Exercise. If you know that hmgns (1?) =5 and limz_,5 g(:c) = 2, then evaluate the following limit: Multiply numerator and denominator by m. Exercise. If you know that 111115.\"; x) = 5 and limz_,6 9(m) = 2, then evaluate the following limit: "1 Multiply f(m) by . gran) = I Exercise. If you know that Emma % = 5 and Ema>6 9(93) = 2, then evaluate the following limit: Use the result in previous exercise. gum m = I Exercise. If you know that limx-+6 f(2) = 5 and limx->6 g(x) = 2, then evaluate the following limit: lim (f (2) (2 - 9(z)) )
Step by Step Solution
There are 3 Steps involved in it
Get step-by-step solutions from verified subject matter experts
