Question: I need help asap. If you could answer both, I'd be grateful. I'll give a thumbs up, thanks. Only a brief explanation is needed. Evaluate


I need help asap. If you could answer both, I'd be grateful. I'll give a thumbs up, thanks. Only a brief explanation is needed.


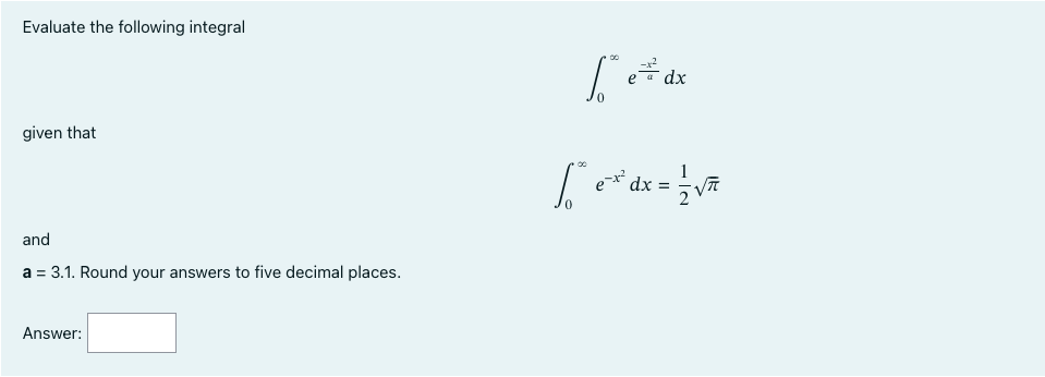
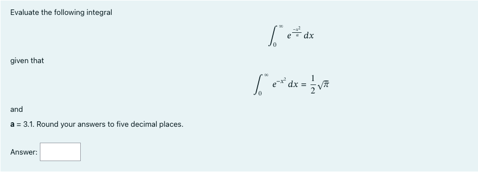
Evaluate the following integral given that and a = 3.1. Round your answers to ve decimal places. Answer:
Step by Step Solution
There are 3 Steps involved in it
Get step-by-step solutions from verified subject matter experts
