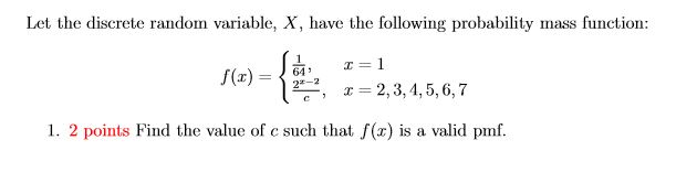
Question: I need help finding 'c' when there are two functions given and one doesn't contain 'c' in it. I think c=63, but I am not
I need help finding 'c' when there are two functions given and one doesn't contain 'c' in it. I think c=63, but I am not sure if I have include anything with the first given function when x=1 to make it a valid pmf.

\f
Step by Step Solution
There are 3 Steps involved in it
Get step-by-step solutions from verified subject matter experts
