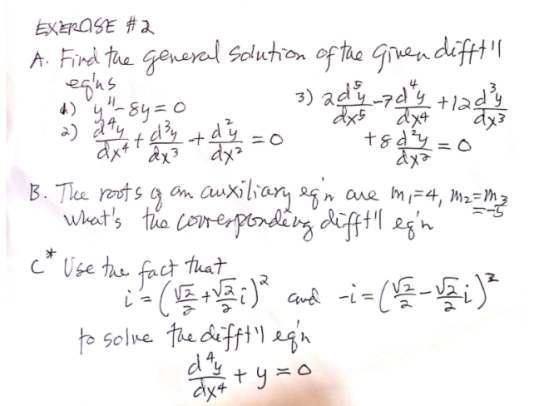
Question: I need help on answering these problems EXERCISE # 2 A. Find the general solution of the Given difft'l 4 ) 4 - 84 =
I need help on answering these problems

Step by Step Solution
There are 3 Steps involved in it
1 Expert Approved Answer
Step: 1 Unlock
Question Has Been Solved by an Expert!
Get step-by-step solutions from verified subject matter experts
Step: 2 Unlock
Step: 3 Unlock
