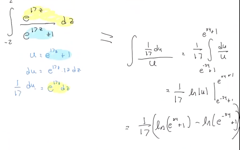
Question: I need help solving the rest o f this problem. This i s a problem from calculus 2 .
I need help solving the rest this problem.
This a problem from calculus
Step by Step Solution
There are 3 Steps involved in it
1 Expert Approved Answer
Step: 1 Unlock
Question Has Been Solved by an Expert!
Get step-by-step solutions from verified subject matter experts
Step: 2 Unlock
Step: 3 Unlock
