Question: I need help with A through J! ACCTNG-3401 Accounting Cycle Project Must be submitted online via Canvas Assignment by 11:59pm on the due date. Pretend
I need help with A through J!





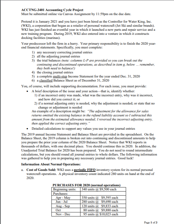
ACCTNG-3401 Accounting Cycle Project Must be submitted online via Canvas Assignment by 11:59pm on the due date. Pretend it is January 2021 and you have just been hired as the Controller for Water King, Inc. (WKI), a corporation that began as a retailer of personal watercraft (Jet Ski and similar brands). WKI has just finished an eventful year in which it launched a new parts and repair service and a new training program. During 2019, WKI also entered into a venture in which it constructs docking facilities (marinas). Your predecessor left the firm in a hurry. Your primary responsibility is to finish the 2020 year- end financial statements. Specifically, you must complete: 1) any necessary correcting joumal entries 2) all the adjusting journal entries 3) the trial balances (note: columns L-P are provided so you can break out the continuing and discontinued operations, as described in item g, below ... remember, they both need to balance!) 4) the closing journal entries 5) a complete multi-step Income Statement for the year ended Dec 31, 2020 6) a classified Balance Sheet as of December 31, 2020 You, of course, will include supporting documentation. For each issue, you must provide: A brief description of the issue and your actionthat is, identify whether 1) if an incorrect entry was made, what was the incorrect entry, why was it incorrect, and how did you correct it; or 2) if a normal adjusting entry is needed, why the adjustment is needed; or state that no change or adjustment is needed An example of a description might be: "The adjustment for the allowance for sales returns omitted the existing balance in the refund liability account so I subtracted this amount from the estimated allowance needed; I reversed the incorrect adjusting entry, then applied the correct adjusting entry. Detailed calculations to support any values you use in your journal entries The 2019 annual Income Statement and Balance Sheet are provided in the spreadsheet. On the Balance Sheet, the 2019 column is broken out into continuing and discontinued amounts to help you prepare the prior year column of the 2020 Balance Sheet. Notice that WKI reports in thousands of dollars, with one decimal place. You should continue this in 2020. In addition, the Unadjusted Trial Balance for 2020 has been prepared. You do not need to round intermediate calculations, but you should round all journal entries to whole dollars. The following information was gathered to help you in preparing any necessary journal entries. Good luck! Information About Normal Operations: a. Cost of Goods Sold: WKI uses a periodic FIFO inventory system for its normal personal watercraft operations. A physical inventory count indicated 280 units on hand at the end of 2020. PURCHASES FOR 2020 (normal operations) Beginning units: 340 units @ $9.500 each Purchases: Apr - May 350 units @ $9,595 each Jun - Jul 280 units @ $9,690 each Aug - Sep 120 units @ $9.833 each 80 units @ $9,880 each Nov - Dec 95 units @ $10,023 each Oct Page 1 of 3 ACCTNG-3401 Accounting Cycle Project Must be submitted online via Canvas Assignment by 11:59pm on the due date. b. Bad debt for Accounts Receivable: WKI management does not expect there to be any change in the collectability of its credit sales related to its regular personal watercraft sales. WKI uses the Accounts Receivable approach to estimate bad debts, and the aging schedule at 12/31/2020 is summarized below: Days outstanding % of Accts Rec Estimated % Uncollectible 0-30 days 67.5% 0.50% 30-60 days 22% 1.50% 60-90 days 9% 10.00% >90 days 1.5% 40.00% c. In addition to its personal watercraft products, WKI's management entered into a long-term agreement on October 1, 2020 to begin supplying repair parts, along with repair services, to a regional chain of marinas. The details of the agreement called for WKI to be paid $4,400,000 up front for a stock of repair parts and 2 years of repair services (beginning on the agreement date). The chain of marinas could have bought just the parts for $4, 125,000, and they could have independently contracted for the repair services for $1,100,000 for the two-year period. WKI determines the sales price and directs the repair operations. The cost of the repair parts sold to the marina chain was $2,640,000 In addition, as part of the contract, WKI has negotiated a performance bonus if it is able to meet certain operating thresholds at the end of the contract. The bonus terms specify a payment of one of the following three amounts: a base payment for completing the contract of $150,000, or a second-tier amount of $300,000, or a top-tier payment of $500,000. WKI management estimates the following percentage likelihoods of achieving these bonus levels: base -30%, 2nd tier - 60%, top tier - 10%. WKI uses the expected value approach to determine the value of this variable consideration. WKI has determined the time value of money to be immaterial in this transaction. Note: WKI plans to use separate accounts in its G/L for the revenue and for any unearned revenuefor (1) repair parts, (2) repair services, and (3) repair bonus, but it plans to combine these three accounts together for reporting on the financial statements. WKI considers this repair business of its normal operations. Your predecessor recorded this as a point-of-sale transaction, with the services and bonus treated as "free" additions. d. In July, 2020 WKI also launched a new service (called Jet Ski Training on the trial balance worksheet). The Jet Ski Training is offered through contracted independent instructors. Each instructor sets her own price for a training session. WKI connects interested individuals with the instructors but does not directly provide any of the training. For its services and per the contract, WKI is entitled to 15% of the total per session fee. WKI also considers this training service part of its normal operations for financial reporting. WKI recorded the entire amount of the fee collected as revenue and recognized its costs (mostly paying the instructors) as 85% of the fee. e. On August 1, 2020, WKI arranged for a 3-year, $2,000,000 loan from a bank to help fund its growing operations. The annual interest rate is for this loan 5.4%, with interest to be paid in cash semi-annually. ACCTNG-3401 Accounting Cycle Project Must be submitted online via Canvas Assignment by 11:59pm on the due date. Additional Information: f. Finally, in addition to its normal operations, WKI also has launched a division that builds docking facilities. At the end of 2019, there was one large marina under construction: the $2,600,000 Horizon Marina (HM) project-a state-of-the-art water sports facility. This project, which was started in August, 2019, qualifies as a single performance obligation with revenue recognized over the period of the project according to the percentage-of-completion method based on a cost-to-cost approach. The original estimated cost for the PC project was $2,028,000 at the end of 2019. But WKI has been able to achieve some efficiency improvements resulting, as of the end of 2020, in a total actual and estimated cost of $1,872,000. The contract does not allow for renegotiation of the contracted price. WKI has a legally binding, enforceable contract with the customer and all parties are expected to be able to perform under the contract. The general ledger accounts Construction-in-Progress and Billings-on-Contract show the following before any 2020 year-end adjusting entries. Construction-in-Progress Billings-on-Contract 2019 cost 468,000 585,000 2019 2019 AJE 132,000 2020 cost 954,720 1,443,000 2020 Unadj. 1,554,720 2,028,000 Unadj. The Accounts Receivable balance for just this project at the end of 2019 was $117,000 and at the end of 2020 was $243,400. These amounts are included in the A/R account balance on the trial balance, but are not included in the A/R aging analysis described in item b. since the marina company is expected to pay in full. g. In December, 2020, WKI management announces its decision to sell the construction division. In fact, it was able to tentatively negotiate a sale price of $715,000. WKI estimates it will incur $15,000 in legal and closing costs to complete the sale, which is expected to occur during the first half of 2021. As part of the sale, WKI will include the balances of the accounts related to the Horizon Marina project, including the CIP and Billings account, the part of the A/R balance associated with the project, and the following additional amounts: Cash to balance the G/L of the division Accounts Receivable 243,400 Construction in Progress as adjusted from item Billings on Contract 2,028,000 Property, Plant & Equipment 259,200 Accumulated Depreciation 149,040 Accounts Payable 79,600 Retained Earnings the after-tax profit from 2020 on this division Hint: there should be an expected gain on this sale. h. WKI's effective tax rate is 24%. Ignore all other taxes. i. Prepare the closing journal entry for WKI at the end of 2020. j. There are 350,000 shares of common stock outstanding for 2020 Note: You must format your Excel solution so that I can print "entire workbook" and display your name in the header and follow your solution without dangling blank pages. 2019 2018 2017 Sales Revenue, net Cost of goods sold Gross profit on sales $ 10,625.2 $ 7,555.2 3,070.0 9,137.7 $ 6,497.5 2,640.2 6,761.9 4,808.1 1,953.8 -- 600.0 468.0 132.0 Construction revenue Construction expense Gross profit on construction General and admin. expense Depreciation expense Bad debt expense 1,834.8 918.0 6.8 1,577.9 789.5 5.9 1,167.7 584.2 4.3 Income before income tax Income tax expense 442.4 106.2 266.9 64.1 197.5 69.1 Net income $ 336.2 $ 202.9 $ 128.4 Earnings per share #REF! #REF! $0.71 No. of shares (in thousands) #REF! #REF! 180 All amounts are in $Thousands 2019 2018 Current Assets Cash Accounts receivable, net Inventory Construction contract asset Total Current Assets $3,616.6 939.6 3,230.0 15.0 7,801.2 $2,767.0 719.0 2,471.0 0.0 5,957.0 2019 Continuing Discontinued $3,591.0 $25.6 822.6 117.0 3,230.0 0.0 0.0 15.0 7,643.6 157.6 Property, Plant & Equipment, net Total Assets 5,508.0 $13,309.2 4,214.0 $10,171.0 5,323.3 $12,966.9 184.7 $342.3 Current Liabilities Accounts payable Income tax payable Total Current Liabilities $193.8 132.7 326.5 148.0 102.0 250.0 $165.2 101.0 266.3 $28.6 31.7 60.3 0.0 Common stock Retained earnings Total Liabilities and Equity 2,250.0 10,732.7 $13,309.2 2,250.0 7,671.0 $10,171.0 2,250.0 10,450.7 $12,966.9 282.0 $342.3 ACCTNG-3401 Accounting Cycle Project Must be submitted online via Canvas Assignment by 11:59pm on the due date. Pretend it is January 2021 and you have just been hired as the Controller for Water King, Inc. (WKI), a corporation that began as a retailer of personal watercraft (Jet Ski and similar brands). WKI has just finished an eventful year in which it launched a new parts and repair service and a new training program. During 2019, WKI also entered into a venture in which it constructs docking facilities (marinas). Your predecessor left the firm in a hurry. Your primary responsibility is to finish the 2020 year- end financial statements. Specifically, you must complete: 1) any necessary correcting joumal entries 2) all the adjusting journal entries 3) the trial balances (note: columns L-P are provided so you can break out the continuing and discontinued operations, as described in item g, below ... remember, they both need to balance!) 4) the closing journal entries 5) a complete multi-step Income Statement for the year ended Dec 31, 2020 6) a classified Balance Sheet as of December 31, 2020 You, of course, will include supporting documentation. For each issue, you must provide: A brief description of the issue and your actionthat is, identify whether 1) if an incorrect entry was made, what was the incorrect entry, why was it incorrect, and how did you correct it; or 2) if a normal adjusting entry is needed, why the adjustment is needed; or state that no change or adjustment is needed An example of a description might be: "The adjustment for the allowance for sales returns omitted the existing balance in the refund liability account so I subtracted this amount from the estimated allowance needed; I reversed the incorrect adjusting entry, then applied the correct adjusting entry. Detailed calculations to support any values you use in your journal entries The 2019 annual Income Statement and Balance Sheet are provided in the spreadsheet. On the Balance Sheet, the 2019 column is broken out into continuing and discontinued amounts to help you prepare the prior year column of the 2020 Balance Sheet. Notice that WKI reports in thousands of dollars, with one decimal place. You should continue this in 2020. In addition, the Unadjusted Trial Balance for 2020 has been prepared. You do not need to round intermediate calculations, but you should round all journal entries to whole dollars. The following information was gathered to help you in preparing any necessary journal entries. Good luck! Information About Normal Operations: a. Cost of Goods Sold: WKI uses a periodic FIFO inventory system for its normal personal watercraft operations. A physical inventory count indicated 280 units on hand at the end of 2020. PURCHASES FOR 2020 (normal operations) Beginning units: 340 units @ $9.500 each Purchases: Apr - May 350 units @ $9,595 each Jun - Jul 280 units @ $9,690 each Aug - Sep 120 units @ $9.833 each 80 units @ $9,880 each Nov - Dec 95 units @ $10,023 each Oct Page 1 of 3 ACCTNG-3401 Accounting Cycle Project Must be submitted online via Canvas Assignment by 11:59pm on the due date. b. Bad debt for Accounts Receivable: WKI management does not expect there to be any change in the collectability of its credit sales related to its regular personal watercraft sales. WKI uses the Accounts Receivable approach to estimate bad debts, and the aging schedule at 12/31/2020 is summarized below: Days outstanding % of Accts Rec Estimated % Uncollectible 0-30 days 67.5% 0.50% 30-60 days 22% 1.50% 60-90 days 9% 10.00% >90 days 1.5% 40.00% c. In addition to its personal watercraft products, WKI's management entered into a long-term agreement on October 1, 2020 to begin supplying repair parts, along with repair services, to a regional chain of marinas. The details of the agreement called for WKI to be paid $4,400,000 up front for a stock of repair parts and 2 years of repair services (beginning on the agreement date). The chain of marinas could have bought just the parts for $4, 125,000, and they could have independently contracted for the repair services for $1,100,000 for the two-year period. WKI determines the sales price and directs the repair operations. The cost of the repair parts sold to the marina chain was $2,640,000 In addition, as part of the contract, WKI has negotiated a performance bonus if it is able to meet certain operating thresholds at the end of the contract. The bonus terms specify a payment of one of the following three amounts: a base payment for completing the contract of $150,000, or a second-tier amount of $300,000, or a top-tier payment of $500,000. WKI management estimates the following percentage likelihoods of achieving these bonus levels: base -30%, 2nd tier - 60%, top tier - 10%. WKI uses the expected value approach to determine the value of this variable consideration. WKI has determined the time value of money to be immaterial in this transaction. Note: WKI plans to use separate accounts in its G/L for the revenue and for any unearned revenuefor (1) repair parts, (2) repair services, and (3) repair bonus, but it plans to combine these three accounts together for reporting on the financial statements. WKI considers this repair business of its normal operations. Your predecessor recorded this as a point-of-sale transaction, with the services and bonus treated as "free" additions. d. In July, 2020 WKI also launched a new service (called Jet Ski Training on the trial balance worksheet). The Jet Ski Training is offered through contracted independent instructors. Each instructor sets her own price for a training session. WKI connects interested individuals with the instructors but does not directly provide any of the training. For its services and per the contract, WKI is entitled to 15% of the total per session fee. WKI also considers this training service part of its normal operations for financial reporting. WKI recorded the entire amount of the fee collected as revenue and recognized its costs (mostly paying the instructors) as 85% of the fee. e. On August 1, 2020, WKI arranged for a 3-year, $2,000,000 loan from a bank to help fund its growing operations. The annual interest rate is for this loan 5.4%, with interest to be paid in cash semi-annually. ACCTNG-3401 Accounting Cycle Project Must be submitted online via Canvas Assignment by 11:59pm on the due date. Additional Information: f. Finally, in addition to its normal operations, WKI also has launched a division that builds docking facilities. At the end of 2019, there was one large marina under construction: the $2,600,000 Horizon Marina (HM) project-a state-of-the-art water sports facility. This project, which was started in August, 2019, qualifies as a single performance obligation with revenue recognized over the period of the project according to the percentage-of-completion method based on a cost-to-cost approach. The original estimated cost for the PC project was $2,028,000 at the end of 2019. But WKI has been able to achieve some efficiency improvements resulting, as of the end of 2020, in a total actual and estimated cost of $1,872,000. The contract does not allow for renegotiation of the contracted price. WKI has a legally binding, enforceable contract with the customer and all parties are expected to be able to perform under the contract. The general ledger accounts Construction-in-Progress and Billings-on-Contract show the following before any 2020 year-end adjusting entries. Construction-in-Progress Billings-on-Contract 2019 cost 468,000 585,000 2019 2019 AJE 132,000 2020 cost 954,720 1,443,000 2020 Unadj. 1,554,720 2,028,000 Unadj. The Accounts Receivable balance for just this project at the end of 2019 was $117,000 and at the end of 2020 was $243,400. These amounts are included in the A/R account balance on the trial balance, but are not included in the A/R aging analysis described in item b. since the marina company is expected to pay in full. g. In December, 2020, WKI management announces its decision to sell the construction division. In fact, it was able to tentatively negotiate a sale price of $715,000. WKI estimates it will incur $15,000 in legal and closing costs to complete the sale, which is expected to occur during the first half of 2021. As part of the sale, WKI will include the balances of the accounts related to the Horizon Marina project, including the CIP and Billings account, the part of the A/R balance associated with the project, and the following additional amounts: Cash to balance the G/L of the division Accounts Receivable 243,400 Construction in Progress as adjusted from item Billings on Contract 2,028,000 Property, Plant & Equipment 259,200 Accumulated Depreciation 149,040 Accounts Payable 79,600 Retained Earnings the after-tax profit from 2020 on this division Hint: there should be an expected gain on this sale. h. WKI's effective tax rate is 24%. Ignore all other taxes. i. Prepare the closing journal entry for WKI at the end of 2020. j. There are 350,000 shares of common stock outstanding for 2020 Note: You must format your Excel solution so that I can print "entire workbook" and display your name in the header and follow your solution without dangling blank pages. 2019 2018 2017 Sales Revenue, net Cost of goods sold Gross profit on sales $ 10,625.2 $ 7,555.2 3,070.0 9,137.7 $ 6,497.5 2,640.2 6,761.9 4,808.1 1,953.8 -- 600.0 468.0 132.0 Construction revenue Construction expense Gross profit on construction General and admin. expense Depreciation expense Bad debt expense 1,834.8 918.0 6.8 1,577.9 789.5 5.9 1,167.7 584.2 4.3 Income before income tax Income tax expense 442.4 106.2 266.9 64.1 197.5 69.1 Net income $ 336.2 $ 202.9 $ 128.4 Earnings per share #REF! #REF! $0.71 No. of shares (in thousands) #REF! #REF! 180 All amounts are in $Thousands 2019 2018 Current Assets Cash Accounts receivable, net Inventory Construction contract asset Total Current Assets $3,616.6 939.6 3,230.0 15.0 7,801.2 $2,767.0 719.0 2,471.0 0.0 5,957.0 2019 Continuing Discontinued $3,591.0 $25.6 822.6 117.0 3,230.0 0.0 0.0 15.0 7,643.6 157.6 Property, Plant & Equipment, net Total Assets 5,508.0 $13,309.2 4,214.0 $10,171.0 5,323.3 $12,966.9 184.7 $342.3 Current Liabilities Accounts payable Income tax payable Total Current Liabilities $193.8 132.7 326.5 148.0 102.0 250.0 $165.2 101.0 266.3 $28.6 31.7 60.3 0.0 Common stock Retained earnings Total Liabilities and Equity 2,250.0 10,732.7 $13,309.2 2,250.0 7,671.0 $10,171.0 2,250.0 10,450.7 $12,966.9 282.0 $342.3
Step by Step Solution
There are 3 Steps involved in it
Get step-by-step solutions from verified subject matter experts
