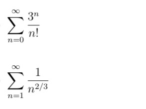
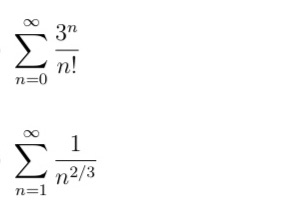
Question: I need help with it. Please show work. Thank you! Indicate if the following series converge or diverge. You must identify all the tests you

I need help with it. Please show work. Thank you! Indicate if the following series converge or diverge. You must identify all the tests you use and show all work needed to apply them:

Step by Step Solution
There are 3 Steps involved in it
Get step-by-step solutions from verified subject matter experts
