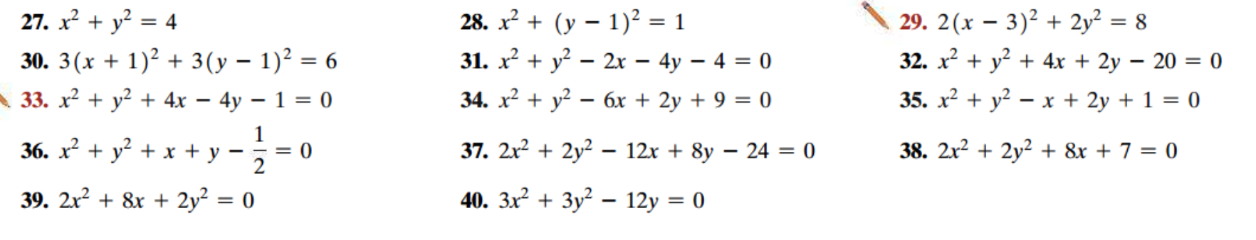
Question: I need help with solving these problems find the center (h,k) and radius of each circle and find the intercept if any. number 28, 30,
I need help with solving these problems find the center (h,k) and radius of each circle and find the intercept if any. number 28, 30, 32, 34, 36, 38, 40 with the steps

27. x2 + y2 = 4 28. x2 + (y - 1)2 = 1 29. 2(x - 3)2 + 2y2 = 8 30. 3 (x + 1)2 + 3(y - 1)2 = 6 31. x2 + y2 - 2x - 4y - 4 = 0 32. x2 + y2 + 4x + 2y - 20= 0 33. x2 + y2 + 4x - 4y - 1 = 0 34. x2 + y2 - 6x + 2y + 9 =0 35. x2 + y2 - x + 2y+ 1 =0 36. x2 + y2+ x + y - = 0 37. 2x2 + 2y2 - 12x + 8y - 24 = 0 38. 2x2 + 2y2 + 8x + 7 = 0 39. 2x2 + 8x + 2y2 = 0 40. 3x2 + 3y2 - 12y = 0
Step by Step Solution
There are 3 Steps involved in it
Get step-by-step solutions from verified subject matter experts
