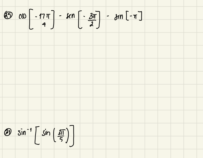
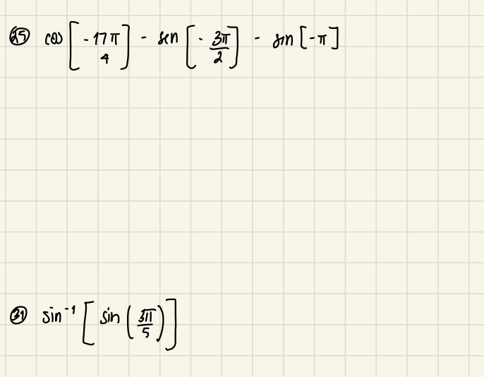
Question: I need help with the following calculus Practice problems. The book doesn't really offer any guidance as to how to do the exercises. If anyone

I need help with the following calculus Practice problems. The book doesn't really offer any guidance as to how to do the exercises. If anyone could help it would be greatly appreciated. I have to find the exact value for the problems.

Step by Step Solution
There are 3 Steps involved in it
Get step-by-step solutions from verified subject matter experts
