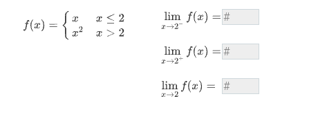
Question: I need help with these calculus problems please. A lim f(@) =# f(x) = 7-2 2 lim f(*) =# lim f(@) = #Let f(x) =
I need help with these calculus problems please.


A lim f(@) =# f(x) = 7-2 2 lim f(*) =# lim f(@) = #Let f(x) = 3x + 1. What is f(-3)? If f(-3) does not exist, type: 99999 # What is lim f(@)? If the limit does not exist, type: 99999 Is f( ) continuous at r = -3? Selectv
Step by Step Solution
There are 3 Steps involved in it
Get step-by-step solutions from verified subject matter experts
