Question: I need help with this assignment. Please do the math to plug more points. Show the work please. So, don't just graph, show math where
I need help with this assignment. Please do the math to plug more points. Show the work please. So, don't just graph, show math where you put extra points.






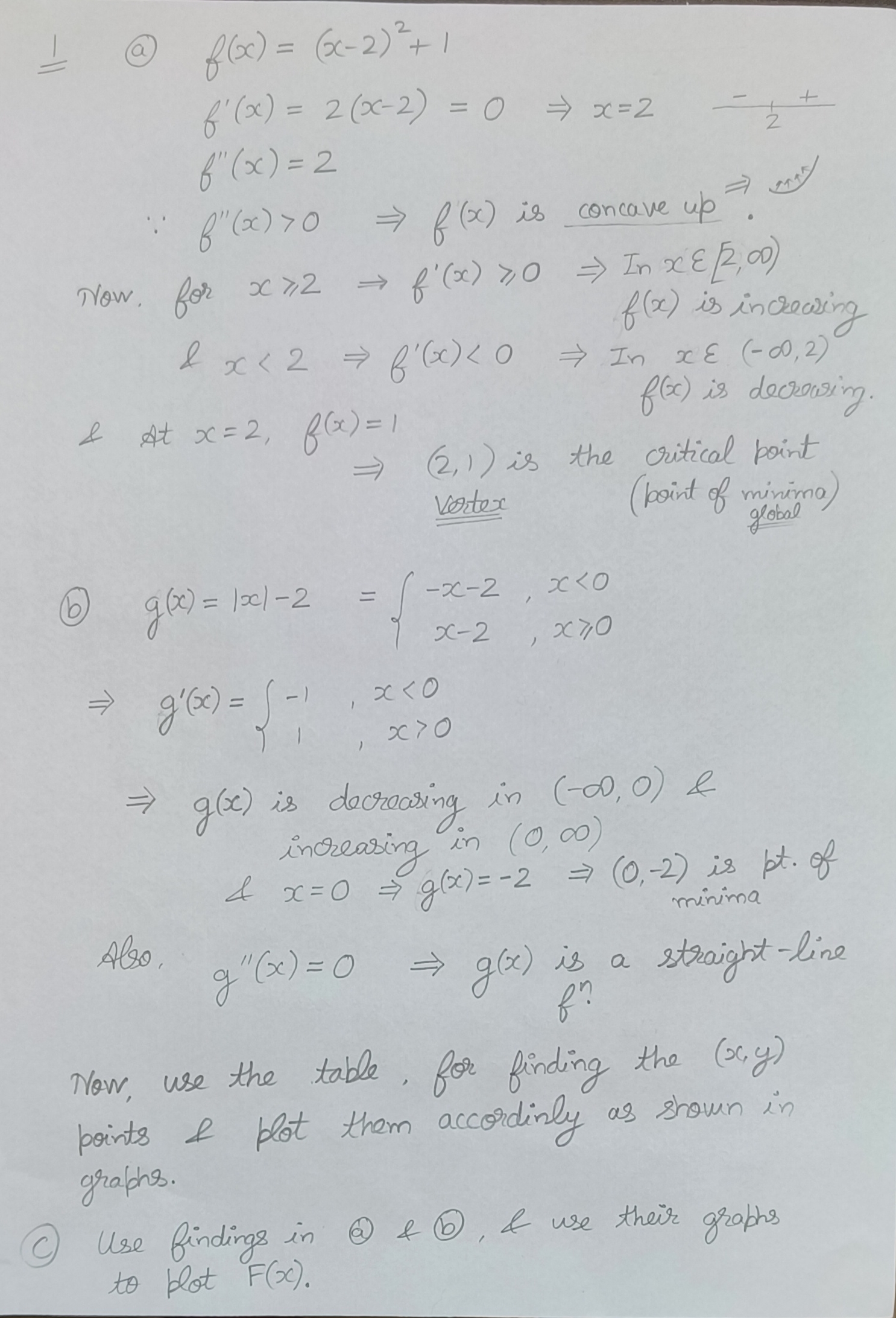
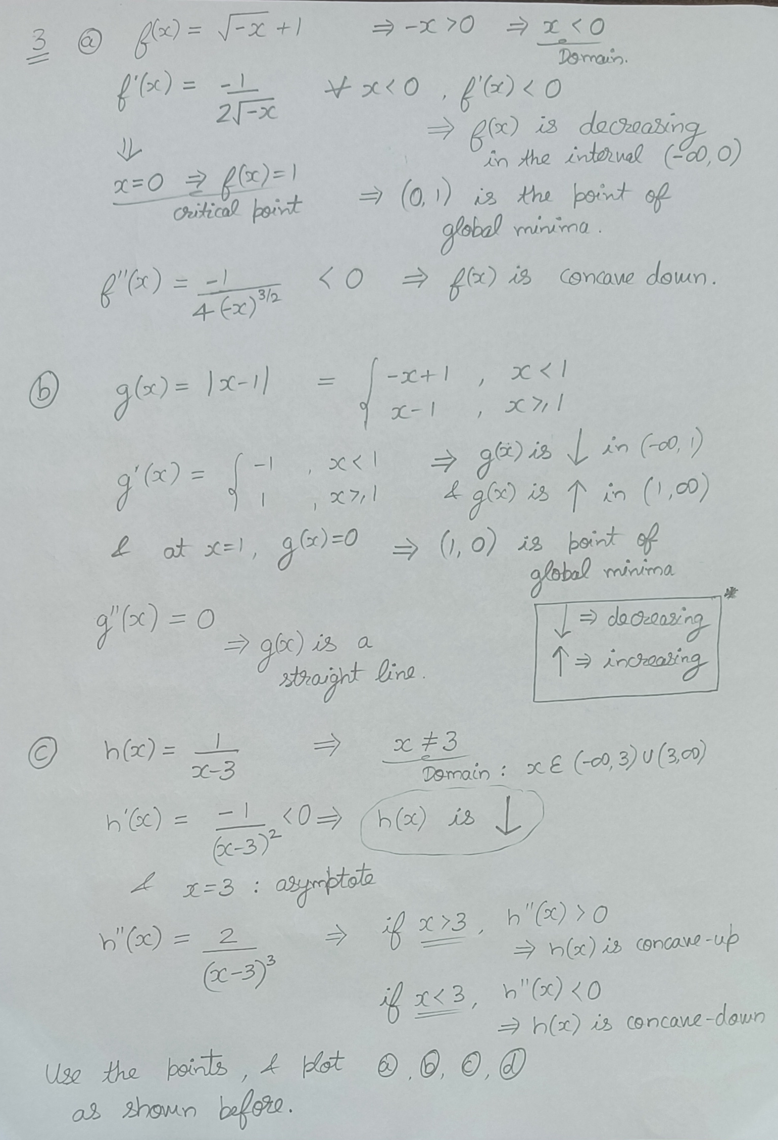
2.6 & 3.6 Additional Homework Problems Complete the problems in their entirety. Be sure all graphs are completely accurate, meaning they must have the correct shapes, key points, and intercepts. Be sure all graphs pass the Vertical Line Test. 1. Graph the following functions on separate axes. (a) f(x) = (x -2)2+1 (b) g(2) = 121-2 (c) Now graph the following piecewise-defined function. F(x) = 121 - 2 (x - 2)2 +1 2>1 2. Graph the following functions on separate axes. (a) f(x) = Vx -1-2 (b) g(2) = 4-22 (c) h(2) = -2-2 (d) Now graph the following piecewise-defined function. -2 - 2 x5-2 F(x) = 34-22 -2
Step by Step Solution
There are 3 Steps involved in it
Get step-by-step solutions from verified subject matter experts
