Question: I need help with this question. Please explain thoroughly and Please write clear, correct, and readable answers for thumbs up. Thank you. Use the Dominant

I need help with this question.
Please explain thoroughly and Please write clear, correct, and readable answers for thumbs up.
Thank you.

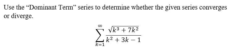
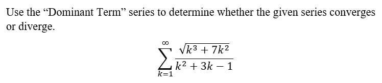
Use the "Dominant Term" series to determine whether the given series converges or diverge. k3 + 7k2 :1 k2 + 3k 1
Step by Step Solution
There are 3 Steps involved in it
Get step-by-step solutions from verified subject matter experts
