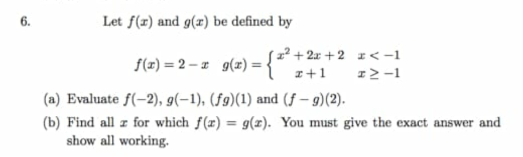
Question: i need solution 6. Let f(x) and g(x) be defined by f(x) = 2-x 9(x) = 2 2+2x+2 1
i need solution

6. Let f(x) and g(x) be defined by f(x) = 2-x 9(x) = 2 2+2x+2 1
Step by Step Solution
There are 3 Steps involved in it
Get step-by-step solutions from verified subject matter experts
