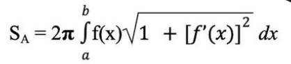
Question: I need the first equation (y) to be inputted and integrated in the second expression labelled Sa. 2 3 =V2.56 - 0. 384x - 0.


I need the first equation (y) to be inputted and integrated in the second expression labelled Sa.


2 3 =V2.56 - 0. 384x - 0. 4096x + 0. 6144x
Step by Step Solution
There are 3 Steps involved in it
Get step-by-step solutions from verified subject matter experts
