Question: I need this question answered in matlab code, it needs to be clearly written out and inputs/outputs need to be shown for this question. 12.

I need this question answered in matlab code, it needs to be clearly written out and inputs/outputs need to be shown for this question.
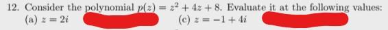
12. Consider the polynomial p(2) = 22 + 4z +8. Evaluate it at the following values: (a) z = 21 (c) 2 = -1+41
Step by Step Solution
There are 3 Steps involved in it
Get step-by-step solutions from verified subject matter experts
