Question: I need to know the answer for this question, the thermal conductivity for Copper is (386) and I need to solve this question with the


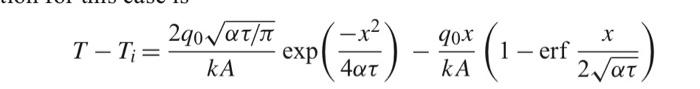
Q5- A semi-infinite solid of copper is coated with a special chemical material that reacts suddenly to ultraviolet radiation and releases energy in the amount of 1.0MJ/m2. If the solid is initially uniform in temperature at 10C, calculate: a- the time that the surface temperature becomes thrice the initial value. b- temperatures at a depth of 3.0cm after the time in (a). c- the heat input to the solid after that time. TTi=kA2q0/exp(4x2)kAq0x(1erf2x) Table A-1 I The error function. Q5- A semi-infinite solid of copper is coated with a special chemical material that reacts suddenly to ultraviolet radiation and releases energy in the amount of 1.0MJ/m2. If the solid is initially uniform in temperature at 10C, calculate: a- the time that the surface temperature becomes thrice the initial value. b- temperatures at a depth of 3.0cm after the time in (a). c- the heat input to the solid after that time. TTi=kA2q0/exp(4x2)kAq0x(1erf2x) Table A-1 I The error function
Step by Step Solution
There are 3 Steps involved in it
Get step-by-step solutions from verified subject matter experts
