Question: I really need help with these practice questions pleasee . Could you do them on a piece of paper so I can better understand. Thank
I really need help with these practice questions pleasee . Could you do them on a piece of paper so I can better understand. Thank you .















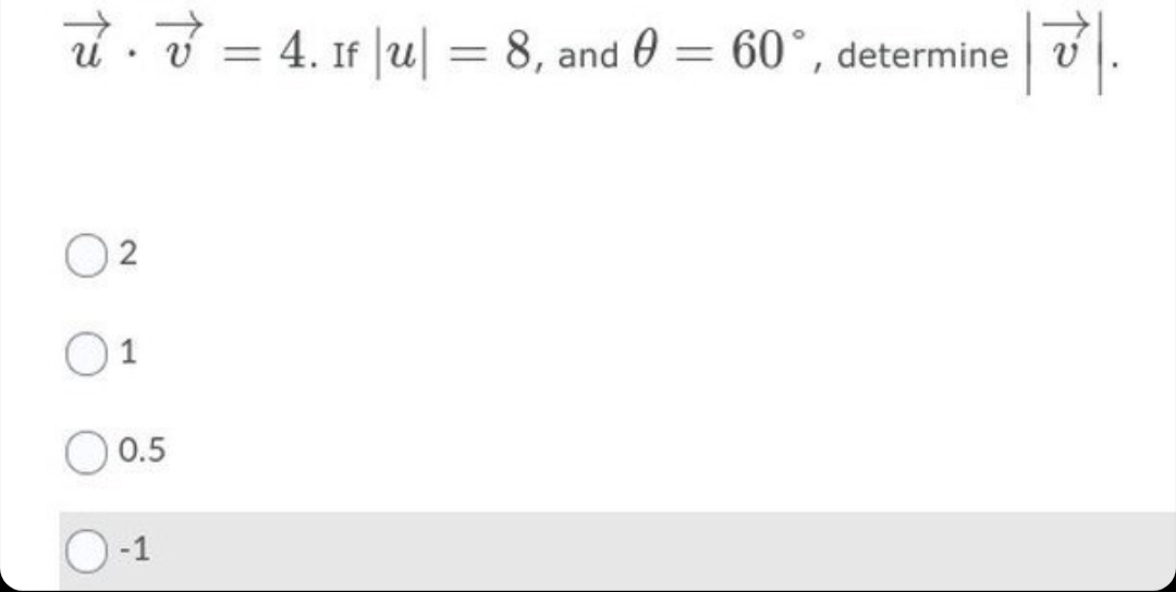
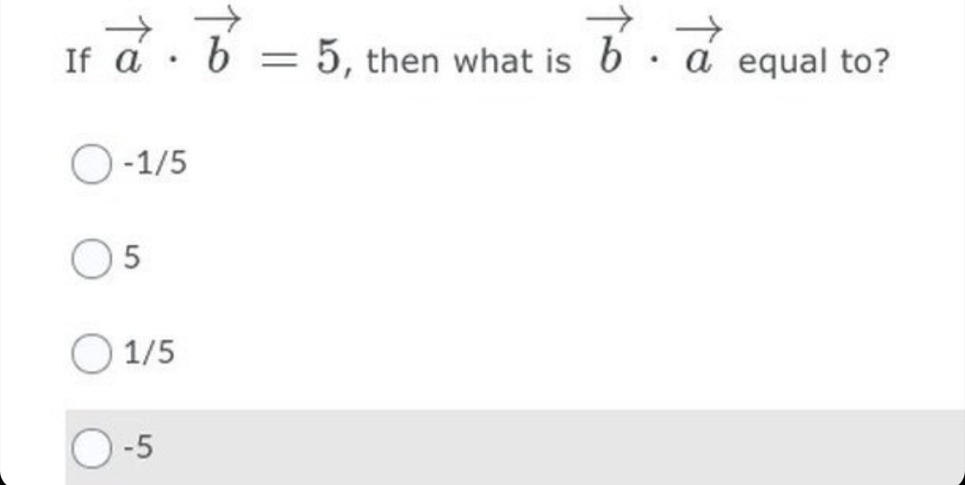
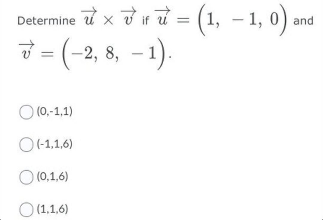
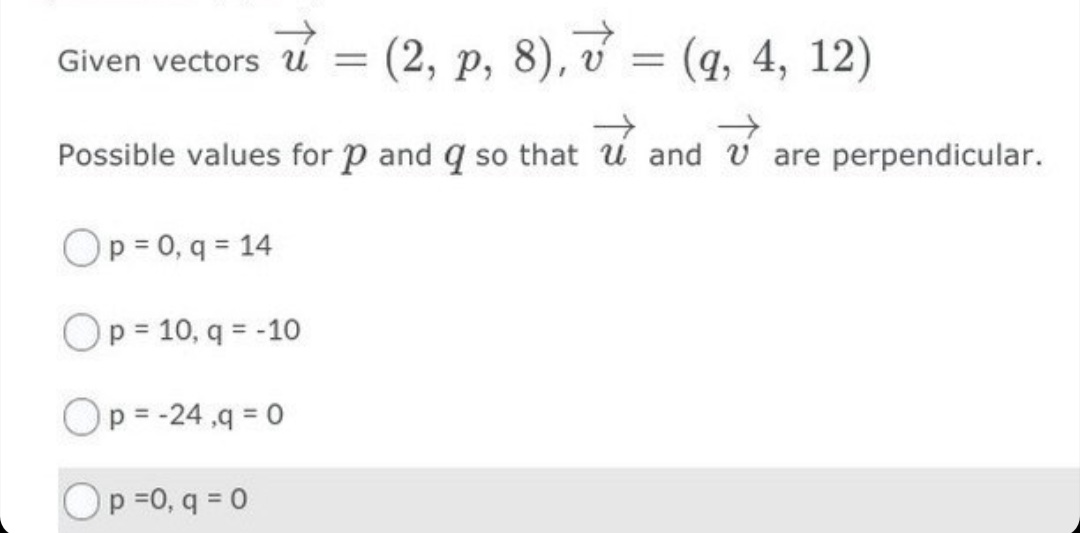
IF u x 7' = 0 Then, which of the following is false. Oluxil = tan(0) Olvl = 4 and lul = 0, and 8 = 900 0 = 00 Oil # 0 and lul # 0, and 8 = 90U = 4. If u = 8, and 0 = 60 , determine |U . 2 O 1 O 0.5 O -1Given the points A (1, 0, 1), 3(0, 0, 1), and C(1, 1, 1), > > determine 9, the angle between AB and vectors AC. 27 53 25 0000 10" Determine u . v if u = 2 and v = 3 and 0 = 135 . ( a) 4.24 (b) -4.24 Oc) 6 O d) 8.5Two vectors 5) = (3, 3, 0) and E) = (1, 1, 2) are vectors starting at the same origin. A parallelogram can be formed with the above points and the origin. Determine a vector representing the fourth point of the parallelogram. 0 (2.4.4) 0 (0.1.1) 0 (4.6.9) 0 (1.1.4) If a . b = 5, then what is b . a equal to? O -1/5 0 5 O 1/5 O-5A force of magnitude 5 N acts on an object. A second force of magnitude 7 N acts at 50 degrees to the other force. What is the magnitude of the resultant of these two forces? 0 11.60 N O 12.91 N O 10.91 N 8.61 N s1 _> > Given a. l = 12 cm, l b = 13 cm, and the angle between the . > > two vectors, when placed tail to tail, is 35 . Find a X b . O | 3: 5| = 39 0 IE x 5| = 6 O 15 x 5| = 156 vectors u = (1, 1, - 1), v = (2, - 1, 0), w = (-1, 2, 1), determine ux v.w . O 3 Oo O-5 O -6Which statement best describes the result of the cross product? 0 It is the division of one vector by another. 0 It gives the magnitude of the projection of one vector onto another. 0 The cross product gives a vector parallel to both given vectors. 0 It defines a vector perpendicular to both given vectors. What is (0, 0, 1) x (0, 1, 0)? O (0, 0, 1) O (1, 0, 0) O (-1, 0, 0) O (0, -1, 0)\fGiven vectors u = (2, p, 8), v = (q, 4, 12) Possible values for P and q so that u and V are perpendicular. Op = 0, q = 14 Op = 10, q= -10 Op = -24 , q = 0 Op =0, q=0For which of the following conditions will the cross product of two vectors be zero? Q If the angle between them is 0. C) If the angle between them is 90". Q If the vectors have the same magnitude. 0 if the angle between them is 45. For which a. value(s) will the vector (1, a, a. + 1) be perpendicular to the vector (3, 1, a)
Step by Step Solution
There are 3 Steps involved in it
Get step-by-step solutions from verified subject matter experts
