Question: I really need some help with this one; Calculate the area between the functions below. Show all calculations and explain the process of calculating the


I really need some help with this one; Calculate the area between the functions below. Show all calculations and explain the process of calculating the area.


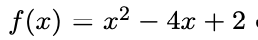
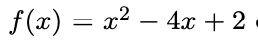
f(x 2 2 4x + 2
Step by Step Solution
There are 3 Steps involved in it
Get step-by-step solutions from verified subject matter experts
