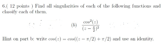
Question: i stuck here please solve this question 6.( 12 points ) Find all singularities of each of the following functions and classify each of them.
i stuck here please solve this question

6.( 12 points ) Find all singularities of each of the following functions and classify each of them. COS (b) Hint on part b: write cos(2) = cos((: - */2) + 2) and use an identity
Step by Step Solution
There are 3 Steps involved in it
Get step-by-step solutions from verified subject matter experts
