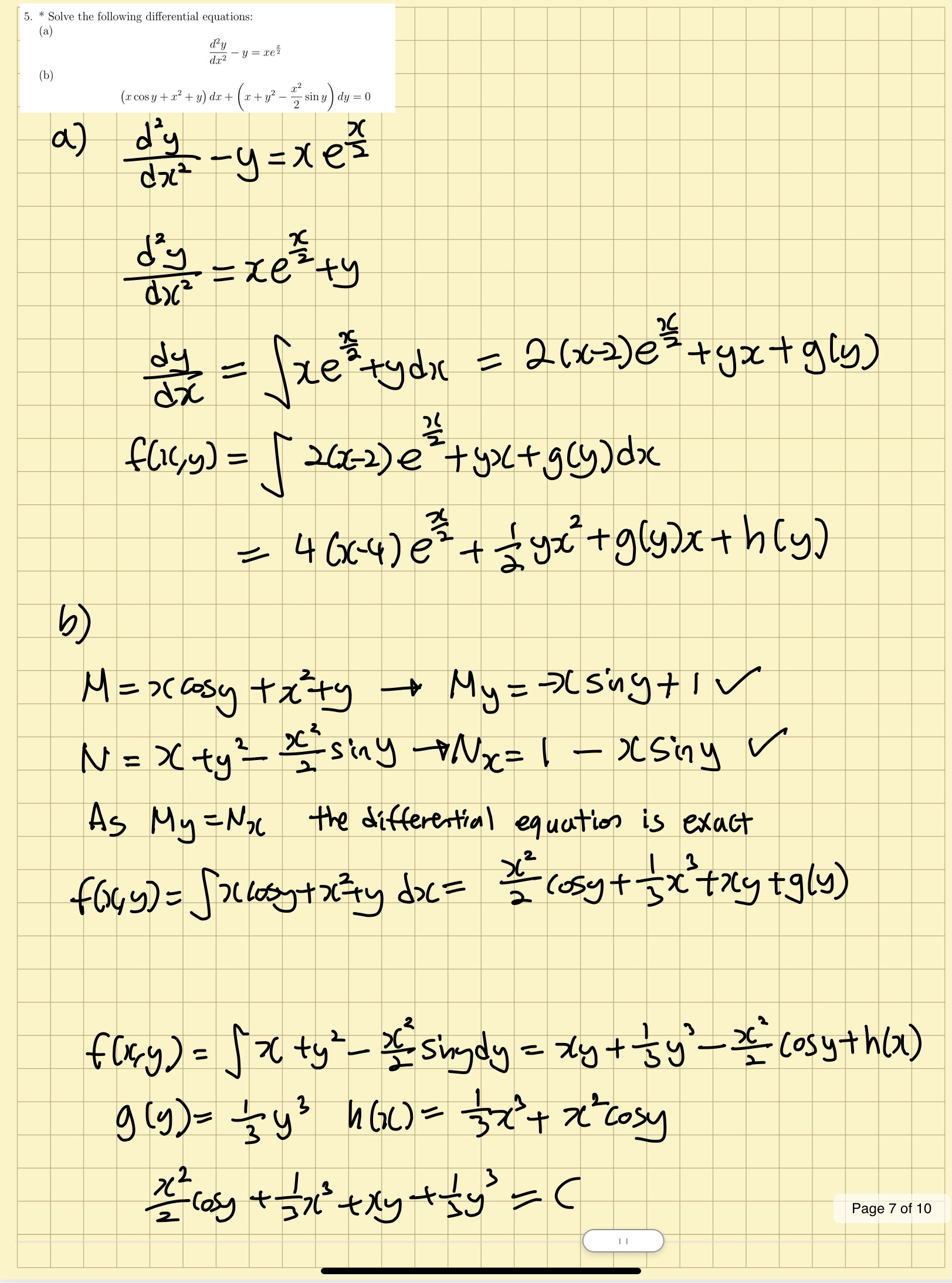
Question: I tried to solve 5 a) in two different methods I don't know which one is correct. I also want to know whether I wrote
I tried to solve 5 a) in two different methods I don't know which one is correct.
I also want to know whether I wrote 5 b answer correctly


Step by Step Solution
There are 3 Steps involved in it
Get step-by-step solutions from verified subject matter experts
