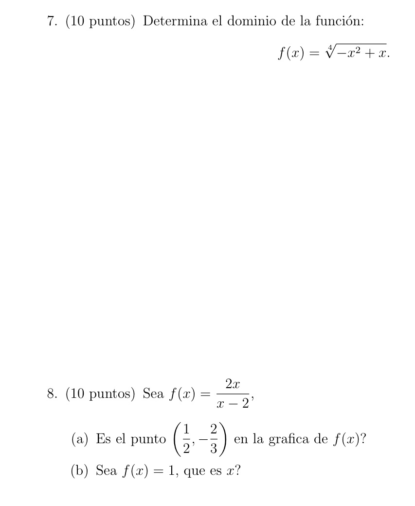
Question: I want the answer and step by step to answer each question 7. (10 puntos) Determina el dominio de la funcion: f (x) = V-x2

I want the answer and step by step to answer each question

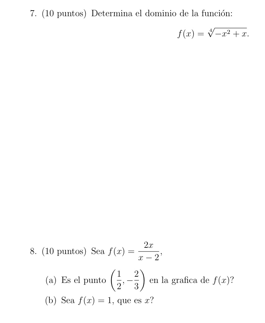
7. (10 puntos) Determina el dominio de la funcion: f (x) = V-x2 + x. 2x 8. (10 puntos) Sea f(x) = x - 2' (a) Es el punto en la grafica de f(x)? (b) Sea f(x) = 1, que es x
Step by Step Solution
There are 3 Steps involved in it
Get step-by-step solutions from verified subject matter experts
