Question: I would like to know how to solve 9 e). I am confident on other question. I tried to solve e) but how I should
I would like to know how to solve 9 e). I am confident on other question. I tried to solve e) but how I should set the H0 and H1 for t-test. If I have done the question correctly, may I know why why B=0 for H0? I attach my work of a to d for ur easy calculation



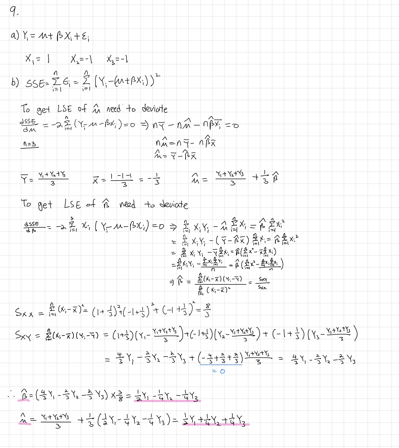
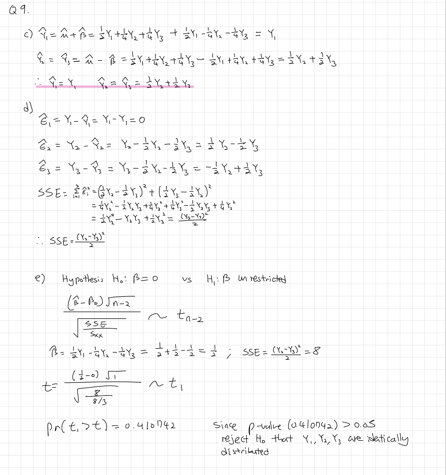
9. Let Y1, Y2, Y3 be independent response observations satisfying + +a=1a Y-{ )3 #_+6'ii i=2a3: where a, x3 are unknown parameters and 1? 62;. 63 are independent N (0, 02) variables for some unknown 02 > 0. (a) Represent the above setting in the form of a simple linear regression model and specify the values of the explanatory variable X for the three observations. (b) Express the least squares estimates of p, and [3 in terms of Y1, Y2, Y3. (c) Express the tted values of Y1, Y2, Y}, in terms of Yl,Y2,Y3. ((1) Express the residual sum of squares SSE in terms of 1135,33. What is the distribution of SSE? (e) Suppose that (Y1, Y2, Y3) is observed to be (1, 2, 2). Conduct attest to determine if you have evidence in support of the hypothesis that Y1,}"2,}'Z3 are identically distributed at the 5% level of signicance. 9. a ) Y , = Mt BX; +E; X = 1 X2 = - 1 x3= -1 b ) SSE = [ G = 2 ( Y, - (utBX; ) ) 2 To get LSE of i need to deviate dM ASSE - -25, ( 7. M - BX; ) = 0 = ) ny- AM - nix; =o n= 3 nu = ny - n Bx M = Y - RX Y Vit YTY 3 3 = - 3 3 To get LSE of is need to deviate dSSE - = 2 71 2 6 ; ( Y - M - B ) ( ; ) = 0 > E x Y . - Mexi =B?" E X . Y . - ( Y - B X ) = X. = = x . 2 = = x; Y, - TEX, = B(2x' -xx) - B = = ( X , - x ) ( 4 . - 7 ) - = - lXS 2 ( x ; - * ) ' SXX SX X = $ ( X ; - x ) ' = ( 1 + = ) 7 ( - 1 + 5 ) + (- 1+5 ) - 8 SXY = = ( X ; - X ) ( 4 . - 7 ) = ( 1+ 3 ) ( Y , - Y it Yat ) ; ) + ( - 1+ 4 ) ( Y 2 - VitY .ty ) + ( - 1 + ; ) ( Y2 - Vitrath = ZY , - 3 / 2 -3 13 + ( -4+3+3) thatY's = 4Y, - 312 -373 = 0 . . B = ( 4 Y , - # 1 2 - 3 7 3 ) x 8 = LY, -GY, - 473 3 M = YITY + 3 + 3 ( 2 \\ , - 4 1 2 - 4 7 3 ) = 3 Y, + # Y, + HY 3.Q 9 . ( ) ( , = M + ( = SY , t ( Y 2 + 4 1 3 + 2 1 - 41 2 - 4 / 3 = Y, d) E, = Y , - P , = Y , - Y , = O E 2 = Y 2 - 1 2 = Y 2 - Z Y 2 - 2 3 = 2 1 , - 2Y S S E = E E ; - ( X 2 - ZY , ) ' + ( 3 \\ , - HY, ) ? :. SSE = ( Y 2 - Y3 ) ? e ) Hypothesis H. : B= 0 VS |H: B unrestricted (B - Bo ) Jn - 2 ta-z SSE Sxx 1 = LY , - 41 2 - 47 3 = 2 + 2 -3 - 7 ; SSE = ( Y, - Y3) = 8 ( 2 - 0 ) 51 n t 8 8/ 3 pr ( t , > t ) = 0. 410 142 Since p-value ( 0.410 0 42 ) > 0.05 reject Ho that Y . , Yz , Y , are identically distributed
Step by Step Solution
There are 3 Steps involved in it
Get step-by-step solutions from verified subject matter experts
