Question: IC-12A: BALLISTIC PENDULUM (CONVENTIONAL) Rev 1 2-30.2022 12.1 OBJECTIVE The purpose of this experiment is to measure the initial velocity of a projectile in two












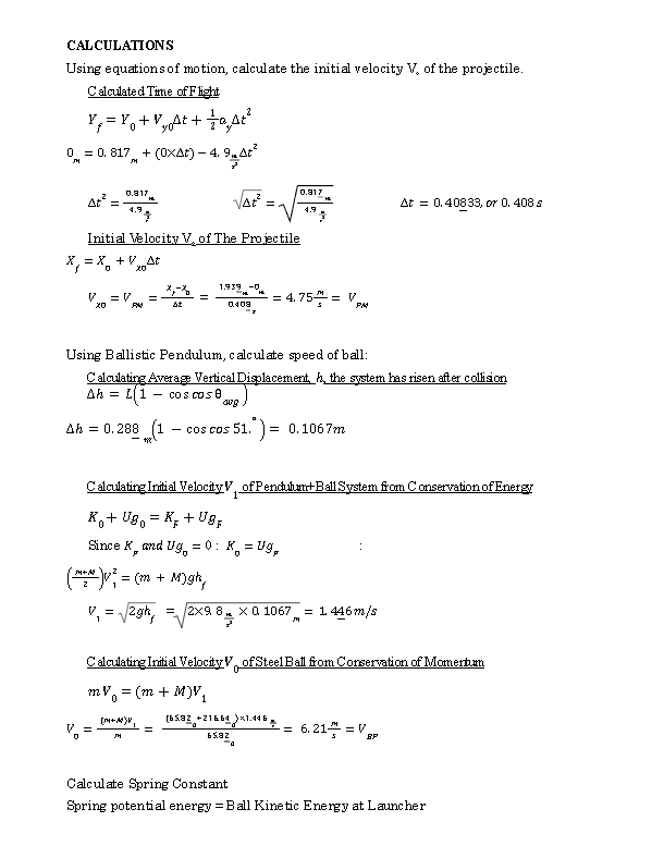
IC-12A: BALLISTIC PENDULUM (CONVENTIONAL) Rev 1 2-30.2022 12.1 OBJECTIVE The purpose of this experiment is to measure the initial velocity of a projectile in two independent ways: One by treating it as a projectile and using the kinematic equations, and the other is by applying the conservation of line ar momentum and energy to a ballistic pendulum. An optional part compares spring potential energy, ball kinetic energy and ball gravitational potential energy. 12.2 MATERIALS Ballistic Pendulum Triple beam balance Meter stick White paper Carbon paper 123 THEORY The equations of motion for a projectile are: K-direction: 7-direction: E +a (t - () C = + 2 '+ 20 (x, - x) "+ 20, ( y - ") If the projectile is fired horizontally with an initial velocity , it will follow the parabolic path shown in figure 1. By measuring the horizontal range X and vertical displacement F of the projectile, you should be able to obtain the initial velocity of the ball (i.e., as it leaves the launcher). Figure 1\fThe initial velocity V, of the projectile can also be determined by using the ballistic pendulum {Fig 2). It consists of a spring gun that fire s aball of mass m which is c aught by ac atcher at the end of apendulum of mass M. The collision between the ball and pendulum is perfectly inelastic. Pas a re sult, the combination swings upward. In certain designs, the pendulum stops at the highest point by aratchet. In other de signs it co me s down again, but leaves an angle marker at the highe st angle. This c an be use d to measure the initial velocity of the hall by analyzing the following steps: When the hall hits the pendulum, it is caught in it, and so it is a perfectly in-elastic collision. Using the notation: H; =Initial velocity of the ball m = mass ofthe hall M: mass of the pendulum VI = common veloci1y of pendulum+ball just after collision. Fro m conserv ation of momentum (ie. initial momentum = final mo mentum}, we get: Initial momentum of hall 2 final momentum ofpendulum+h all. IClr mV=Em+MJV1 [1] After the collision, the pendulum+ball swings upwards, with an initial velocity V}. As it swings up, the kinetic energy of the pendulum+ball converts to gravitational potential energy, and the pendulum slows down. Finally, it stops at some height, and slides back (in so me mo dels it stops there). Ely energy conserv ation (after the collision): Gain in Potential Energy = Lo ss in Kinetic Energy {23' If \"E is the maximum height to which the center of mass of the pen dulum+ball goes to, then you can find the initial velocity V; by using: Potential Energy at highest point = [m + Mjgh {3} Kinetic Energy at lowest point = % {m + M} U: {43' Use eqn. {3} and (4) to obtain \"1"!" VU=ITIL agh E5) 12.4 EXPERIMENTAL PRDCEDURE Port A: Determine Initial Velocity oonll by Projectile friotion {see figure I) l. 2. Secure the ballistic pendulum to the table, move the pendulum out of path of the ball. Measure the height I'from where the bottom of the ball would be in the Launcher to the ground by using a meter stick. Using the vertic al height I", c alculate the time of ight and record it. This is the \"Calculate d Time of Flight\" 1. Fire the gun few time s to get an approximate position of where it strikes the ground, and then tape apiece ofwhite paper andcenter it around where the ball lands. Cover it with ac aran paper {c aran side down}. Use aplumb bob to find the point on the oor that is directly beneath the release point on the barrel. Measure the horizontal distance along the oor fro mthe release point to the leading edge ofthe paper. Recordin Table 1.1. Shoot the hall at least five times and recordthe horizontal positions ofeach mark left on the paper. Measure the distance from the leading edge of the paper to eazhof the dots made where the hall hits the paper, and record these distancesin Table 1.1. Find the average ofthe five distances and record inTable 1.1. Adding this to the distance from the leadingedge of the paper gives the distance X. Using the average horizontal distance X and time of ight, calculate the initial velocity ofthe hall. Record in Table 1.1. Port B: Determine Initial Velocity oonll by Ballistic Pendulum F3. '1'. 10. Remove the pendulum fromthe apparatus and measure its mass Mandofthe ball In. Find the po sition of the center of mass of the pendulum: i) Balance the pendulum on ameter stick as shown in Figure 3. Note that the ball should be in the c atcher. ii) Find the point at which the c atcher is extended as far as possible out over the edge ofthe meter stick before it starts to tip. When properly balanced, the center of massis directly over the end of the stick. iii) Record L, the distance fromthe center of mass out to the pivot (szrewjl. Measure this five times and findthe average value. Reinstall the pe ndulum. Plase the ball in the launcher andcock the gun until the spring is locked in the same po sition as used for the previouspart. Fire the gun. The ball will enter the cabzherin the pendulum, which will swing up and return. A slider indicate s the maximum angle by which it had moved. Repeat this procedure five times and obtain the averge. Use the average angle and the length of the pendulum L (distance from pivot to its center of mass) to obtain the vertic al distance it\" moved by the center of mass of the pendulum+ball. {You will need to do so me trigonometry to get \"El In some instruments, as the pendulum swings up, it comes to re st on a curve drazk. For this instrument, record the vertic al distance between the base of the apparatus and the center of mass of the pendulum+ball before it swings and after it stops. The difference is the vertical height 'k'. 11. Use equations 1, 3 and alto obtain the initial speed ofthe ball. ISomp are this with the value obtained frompart l. I: L I- Figure 3: Obtaining the center of mass of the pendulum with ball inside it. Part (3': Determine Spring Eomctant by comparing Spring Potential Energy to Kinetic Energy ofthe ball. 1. Push the spring in the launcher to the same position as used for the first two p arts of this experiment, and note the distance by which the spring is compresse d. This is the distance: 3:. Repeat afewtimes and get the average value of x. 2. lls the launcher is fire d, the potential energy of the spring will convert into kinetic energy of the ball. Use the alre ady found v alue of H; to get the spring constant k, by using: 1 z 1 2 Tier 2 ?mV (6} El Part D: Determine Spring Comtant by C'omparing Spring Potential Energy to Gravitational Potential Energy ofthe ball. 3. Set up the launcher so that it shoots the ball ver'tic ally up. Push the spring in the launcher to the same position as used for the first two p arts of this experiment. The distance by whichthe spring is co mpressed isx {already obtainedin part '3). 4. Shoot the ball ver'tic ally upwards. The Spring Potential Energy will convert into the balls kinetic energy. The kinetic energy will then convert into the balls Potential energy. At the highe st point in its path, the Kinetic Energy is zero, and the Spring Potential Energy is converbe d into the ball' s Potential Energy. Me asure the maximum height (H) to whichthe hall goes. Your group needs to figure out how to do this. Obtain the Spring Constant by using: %kx2 = mgpi + x} (7) Compare the two values of the Spring Constant, and find the Percent Difference. (Note : From the maximum height reached by the ball, you can also calculate the spee d with which the ball left the launcher; by using: %mv:' : mng l Part E: Verify that the hinetic energypfthe ball does not depend on the mass of the ball, as itcome out ofthe launcher. E. The spring potential energy converts into the ball'skinetic energy, so the RE should depend only on the PE ofthe spring, and not the mass ofthe ball. However, the velocity ofthe ball will depend on its mass. The plastic and steel balls have masses m.P and m, their launch speeds are V, and V, and the distances along the ground where they hit are a and *, respectively Then: = H SH (8) 6. For same value of clicks in the launcher, measure the masses and distances for the plastic and steel balls, and verify equation 8.129 ADDITIONAL INFORMATION http://hibachisic.phy-atras.ed/hbaje/bdpen.html http://hipephwis phystrade-Uhbelow/philby/balpen.html http://www.youtube.com/watchavedny/7AVR5 Gfc Video of experiment being performed: https:W/outu.be/bKHD90 04Cc 129 POINTS TO THINK ABOUT 1. For balls launched horizontally from the launcher from the same height, would the heavy steel ball hit the ground in a different time than alighter plastic ball? 2. For the same launcher and same initial position of its spring, would the heavy steel ball hit the ground at a different distance than the lighter plastic ball? 3. Would doubling the height of the launcher also double the time it takes for the ball to hit the ground? 4. In the ballistic pendulum, if both plastic and steel balls are shot from the launcher at the same velocity, would the steel ball cause the pendulum to swing to a higher angle than aplastic ball? 5. In the ballistic pendulum, if both plastic and steel balls are shot from the same spring position inside the launcher, would the steel ball cause the pendulum to swing to a higher angle than a plastic ball? 6. What is the difference between Elastic, Inelastic and perfectly inelastic Collisions.
Step by Step Solution
There are 3 Steps involved in it
Get step-by-step solutions from verified subject matter experts
