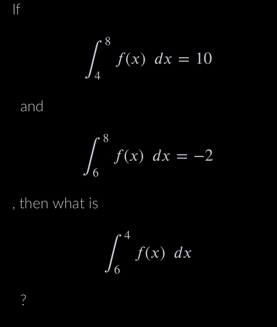
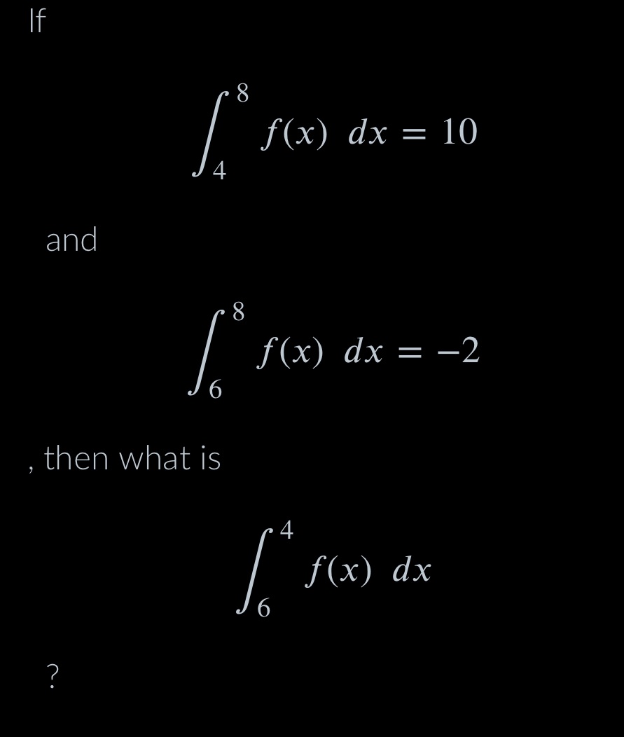
Question: If 8 f(x) dx = 10 4 and 8 f(x) dx = -2 , then what is 4 f(x) dx 6


If 8 f(x) dx = 10 4 and 8 f(x) dx = -2 , then what is 4 f(x) dx 6
Step by Step Solution
There are 3 Steps involved in it
1 Expert Approved Answer
Step: 1 Unlock
Question Has Been Solved by an Expert!
Get step-by-step solutions from verified subject matter experts
Step: 2 Unlock
Step: 3 Unlock
